Официальное опубликование правовых актов
ОФИЦИАЛЬНОЕ ОПУБЛИКОВАНИЕ
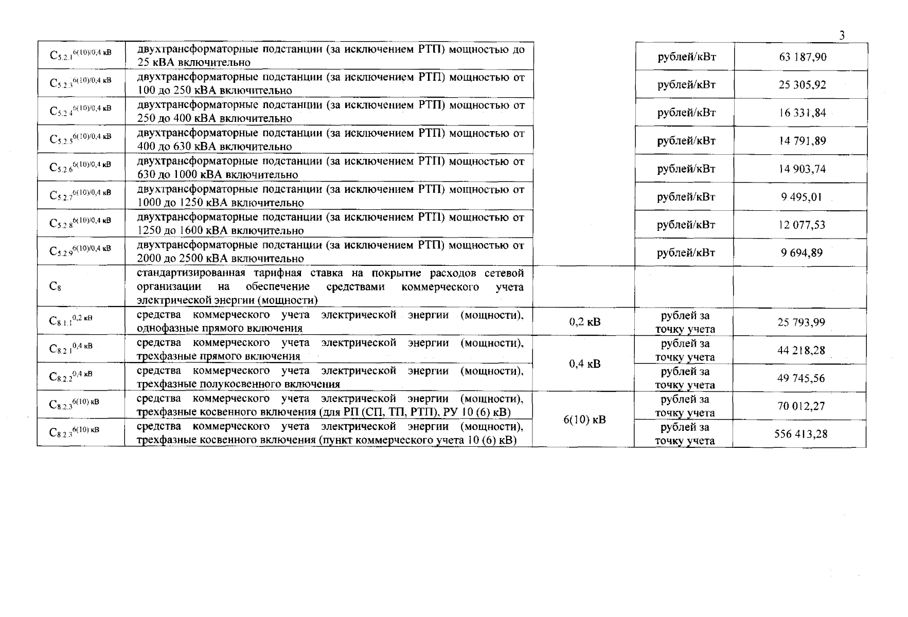
Приказ Службы по тарифам Республики Тыва от 30.12.2025 № 94-тбр
"Об утверждении ставок платы за технологическое присоединение энергопринимающих устройств потребителей электрической энергии, объектов микрогенерации, объектов электросетевого хозяйства, принадлежащих сетевым организациям и иным лицам на территории Республики Тыва на 2026 год"
(Зарегистрирован 16.01.2026 № 1663)
Номер опубликования: 1701202601190009
Дата опубликования: 19.01.2026
Страница №7 из 9:
Увеличить