Официальное опубликование правовых актов
ОФИЦИАЛЬНОЕ ОПУБЛИКОВАНИЕ
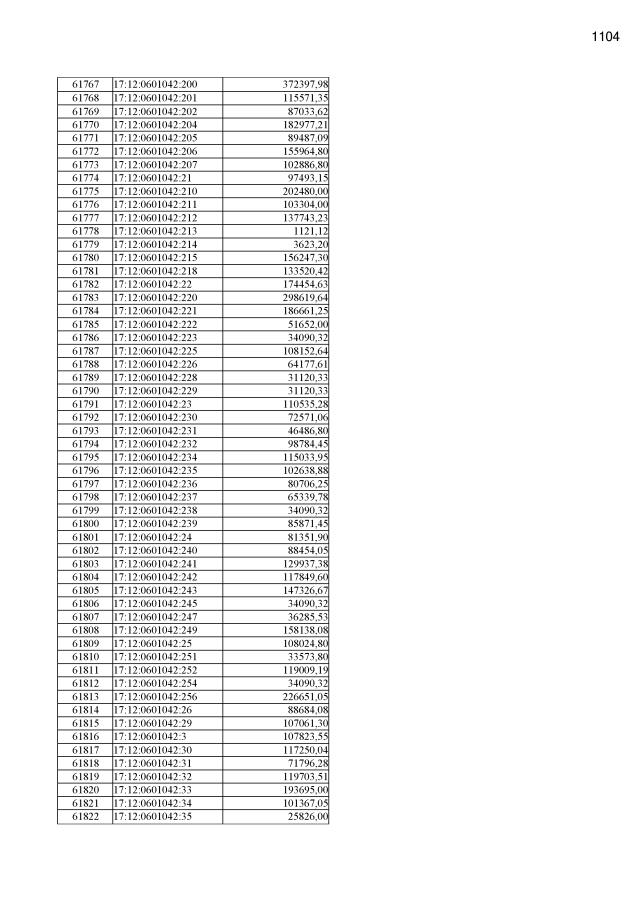
Приказ Министерства земельных и имущественных отношений Республики Тыва от 19.10.2021 № 47-од
"Об утверждении результатов определения кадастровой стоимости земельных участков категории земель населенных пунктов, земель сельскохозяйственного назначения, расположенных на территории Республики Тыва"
(Зарегистрирован 21.10.2021 № 407)
Номер опубликования: 1701202110270001
Дата опубликования: 27.10.2021
Страница №1106 из 2113:
Увеличить