Официальное опубликование правовых актов
ОФИЦИАЛЬНОЕ ОПУБЛИКОВАНИЕ
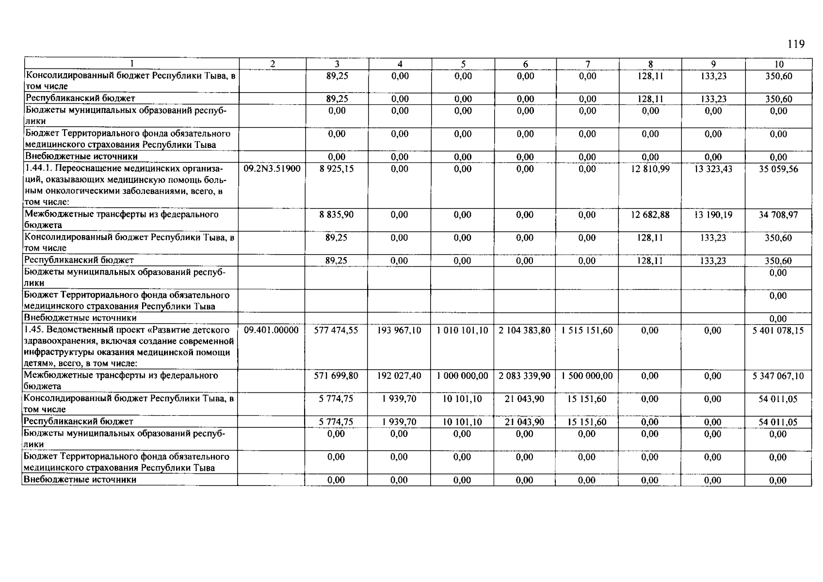
Постановление Правительства Республики Тыва от 22.04.2026 № 165
"О внесении изменений в государственную программу Республики Тыва "Развитие здравоохранения Республики Тыва"
Номер опубликования: 1700202604240005
Дата опубликования: 24.04.2026
Страница №119 из 142:
Увеличить