Официальное опубликование правовых актов
ОФИЦИАЛЬНОЕ ОПУБЛИКОВАНИЕ
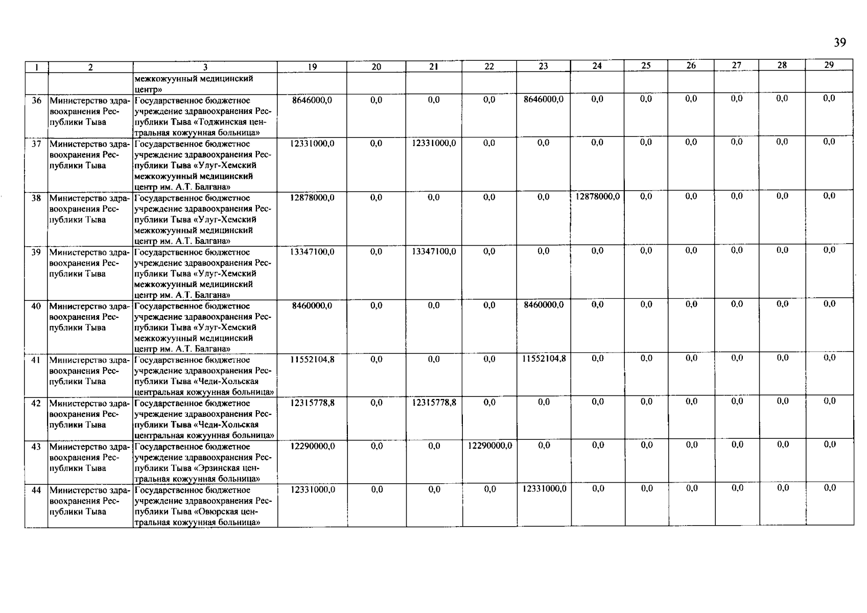
Постановление Правительства Республики Тыва от 31.03.2026 № 127
"О внесении изменений в постановление Правительства Республики Тыва от 15 декабря 2020 г. № 634"
Номер опубликования: 1700202604030001
Дата опубликования: 03.04.2026
Страница №39 из 393:
Увеличить