Указ Главы Республики Тыва от 20.02.2026 № 48
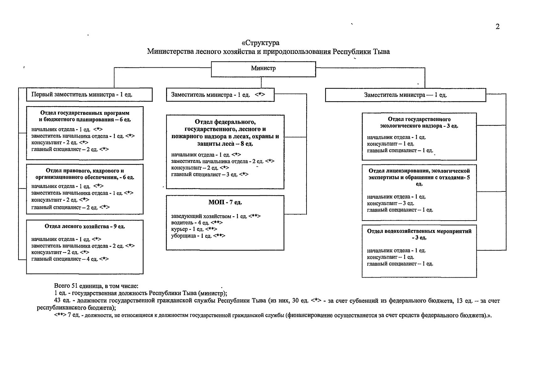
"О внесении изменения в структуру Министерства лесного хозяйства и природопользования Республики Тыва"
"О внесении изменения в структуру Министерства лесного хозяйства и природопользования Республики Тыва"
Номер опубликования: 1700202602260001
Дата опубликования:
26.02.2026
