Официальное опубликование правовых актов
ОФИЦИАЛЬНОЕ ОПУБЛИКОВАНИЕ
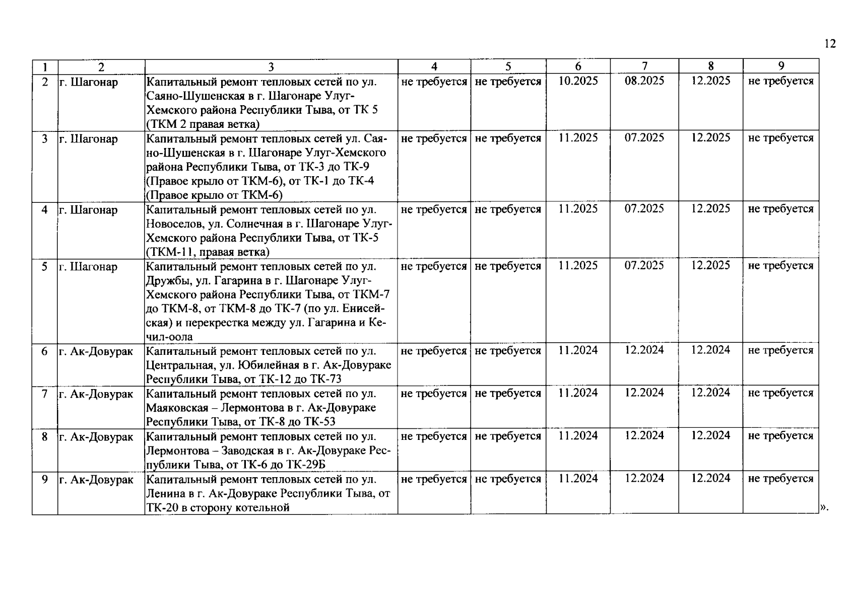
Постановление Правительства Республики Тыва от 16.12.2025 № 604
"О внесении изменений в региональную программу Республики Тыва "Модернизация систем коммунальной инфраструктуры Республики Тыва на 2023-2027 годы"
Номер опубликования: 1700202512190002
Дата опубликования: 19.12.2025
Страница №12 из 13:
Увеличить