Официальное опубликование правовых актов
ОФИЦИАЛЬНОЕ ОПУБЛИКОВАНИЕ
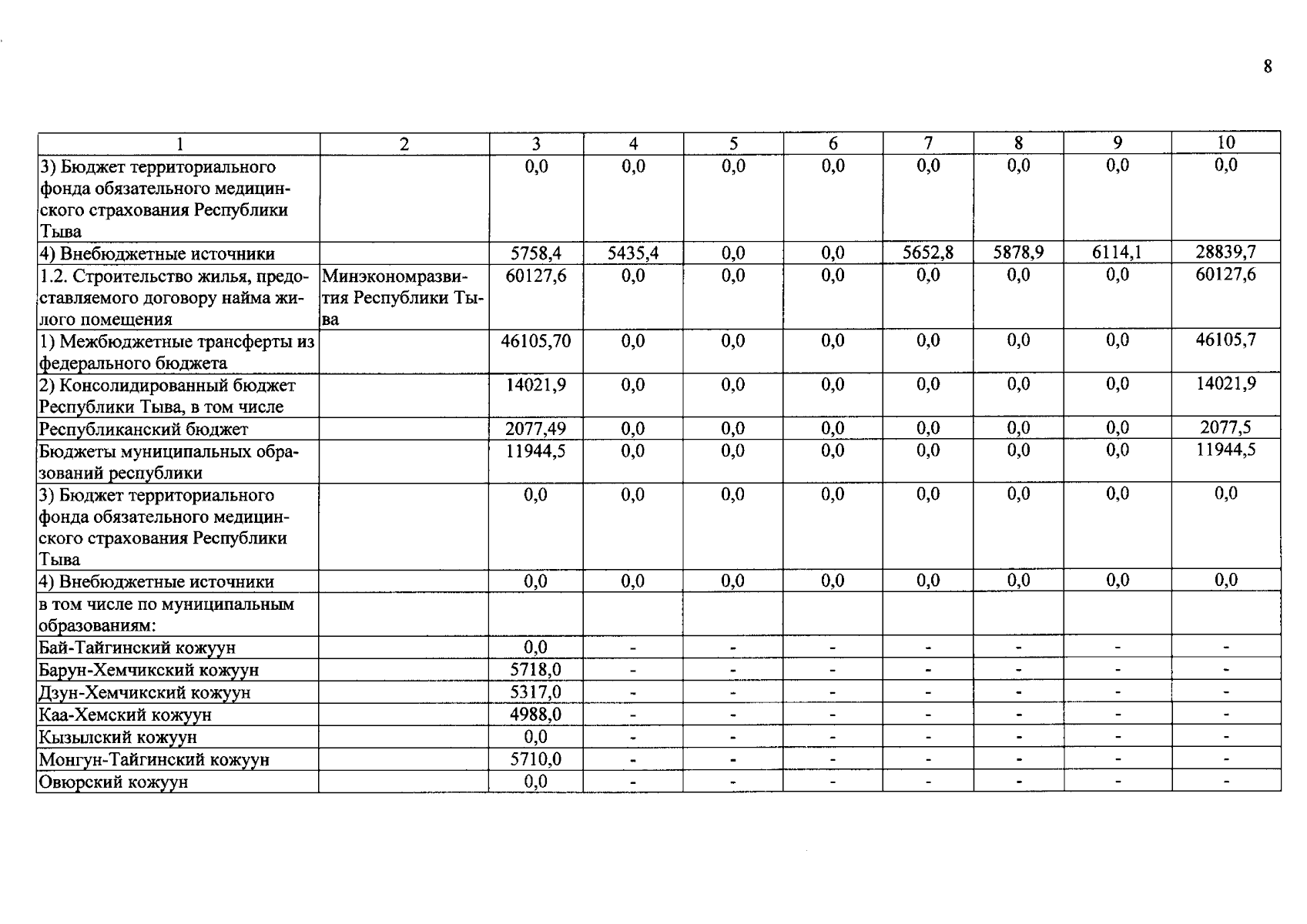
Постановление Правительства Республики Тыва от 09.04.2025 № 154
"О внесении изменений в государственную программу Республики Тыва "Комплексное развитие сельских территорий"
Номер опубликования: 1700202504160010
Дата опубликования: 16.04.2025
Страница №8 из 31:
Увеличить