Официальное опубликование правовых актов
ОФИЦИАЛЬНОЕ ОПУБЛИКОВАНИЕ
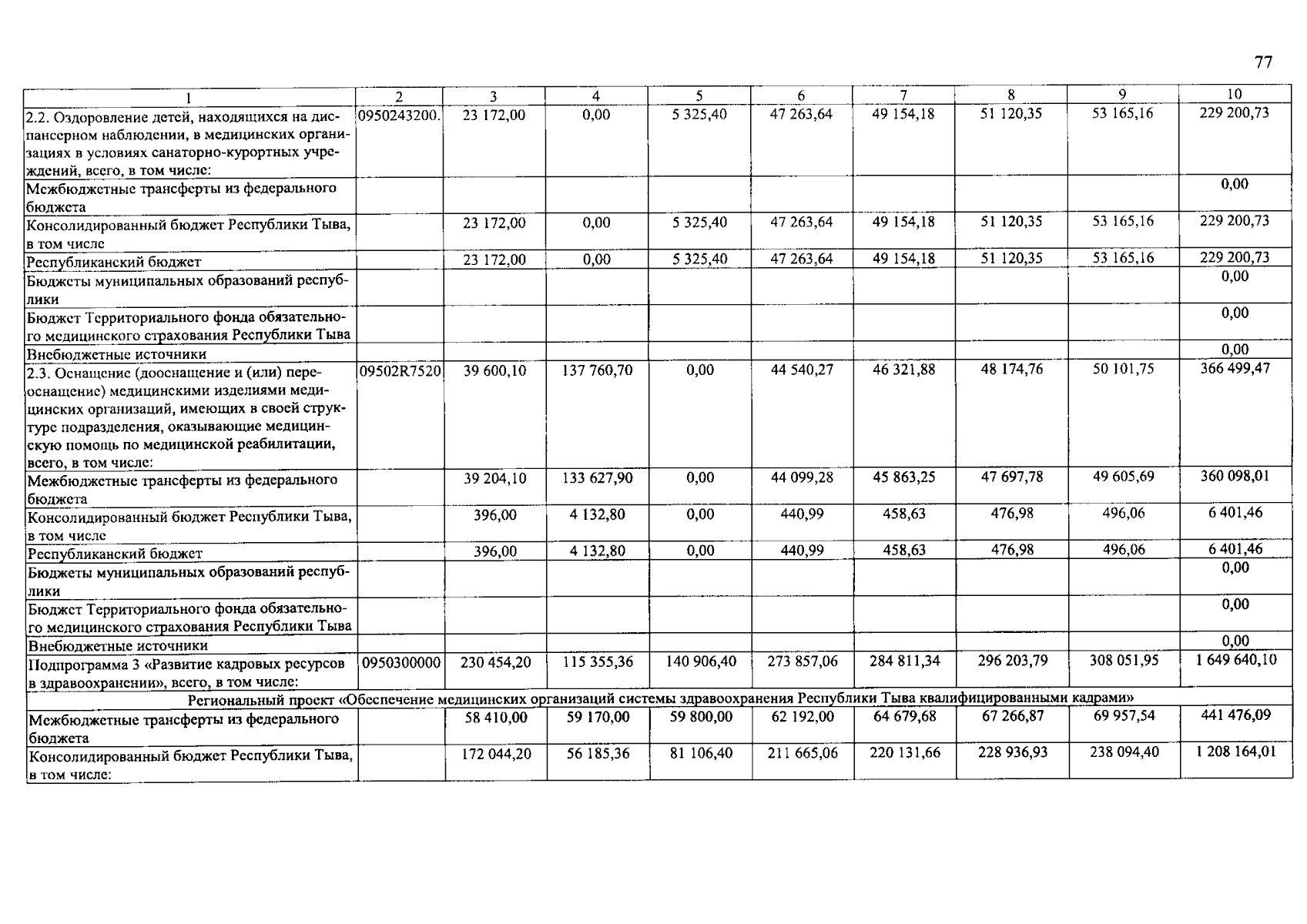
Постановление Правительства Республики Тыва от 28.12.2024 № 609
"О внесении изменений в государственную программу Республики Тыва "Развитие здравоохранения Республики Тыва"
Номер опубликования: 1700202501030012
Дата опубликования: 03.01.2025
Страница №77 из 83:
Увеличить