Официальное опубликование правовых актов
ОФИЦИАЛЬНОЕ ОПУБЛИКОВАНИЕ
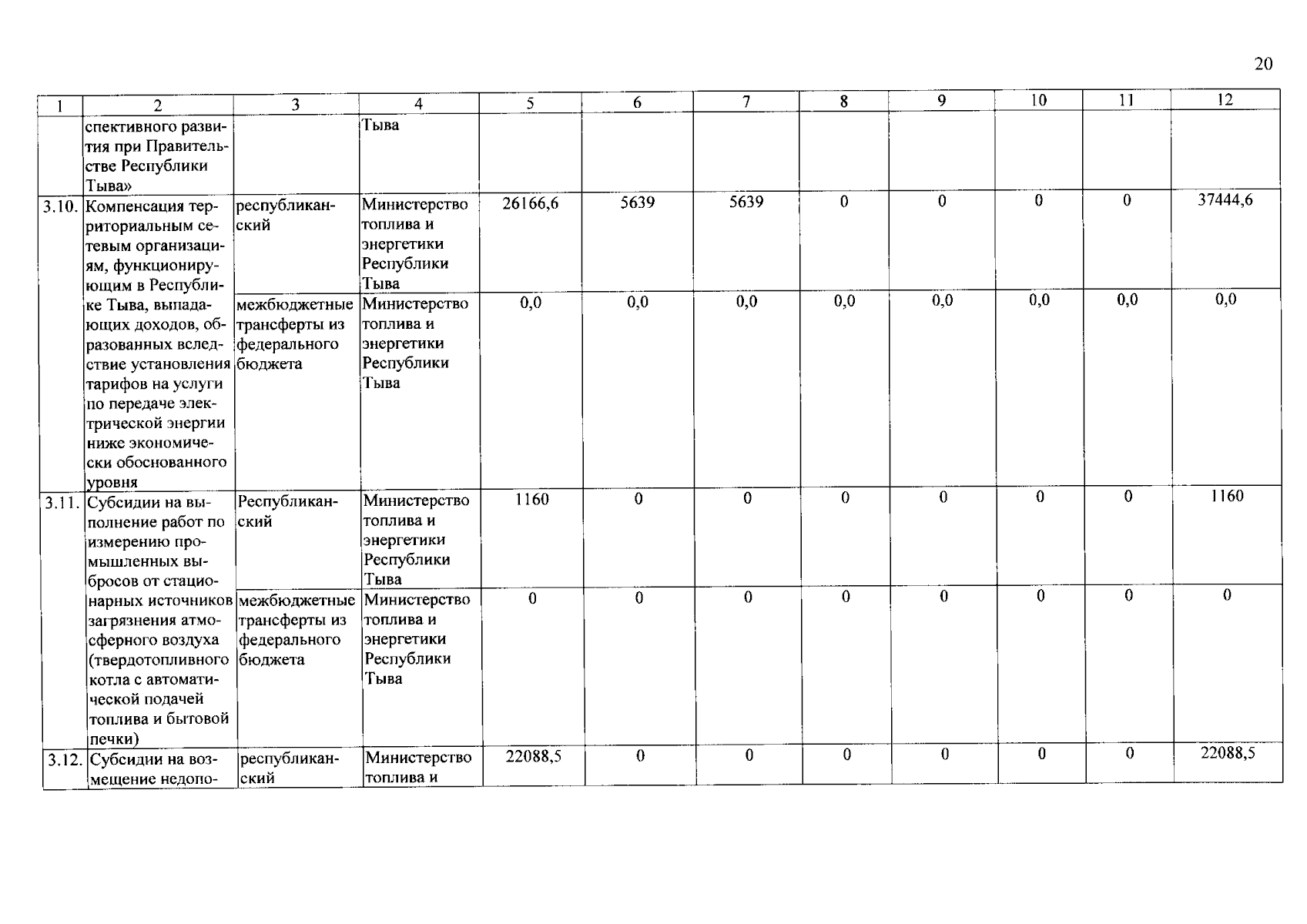
Постановление Правительства Республики Тыва от 02.11.2024 № 529
"О внесении изменений в государственную программу Республики Тыва "Энергоэффективность и развитие энергетики в Республике Тыва"
Номер опубликования: 1700202411050001
Дата опубликования: 05.11.2024
Страница №20 из 61:
Увеличить