Официальное опубликование правовых актов
ОФИЦИАЛЬНОЕ ОПУБЛИКОВАНИЕ
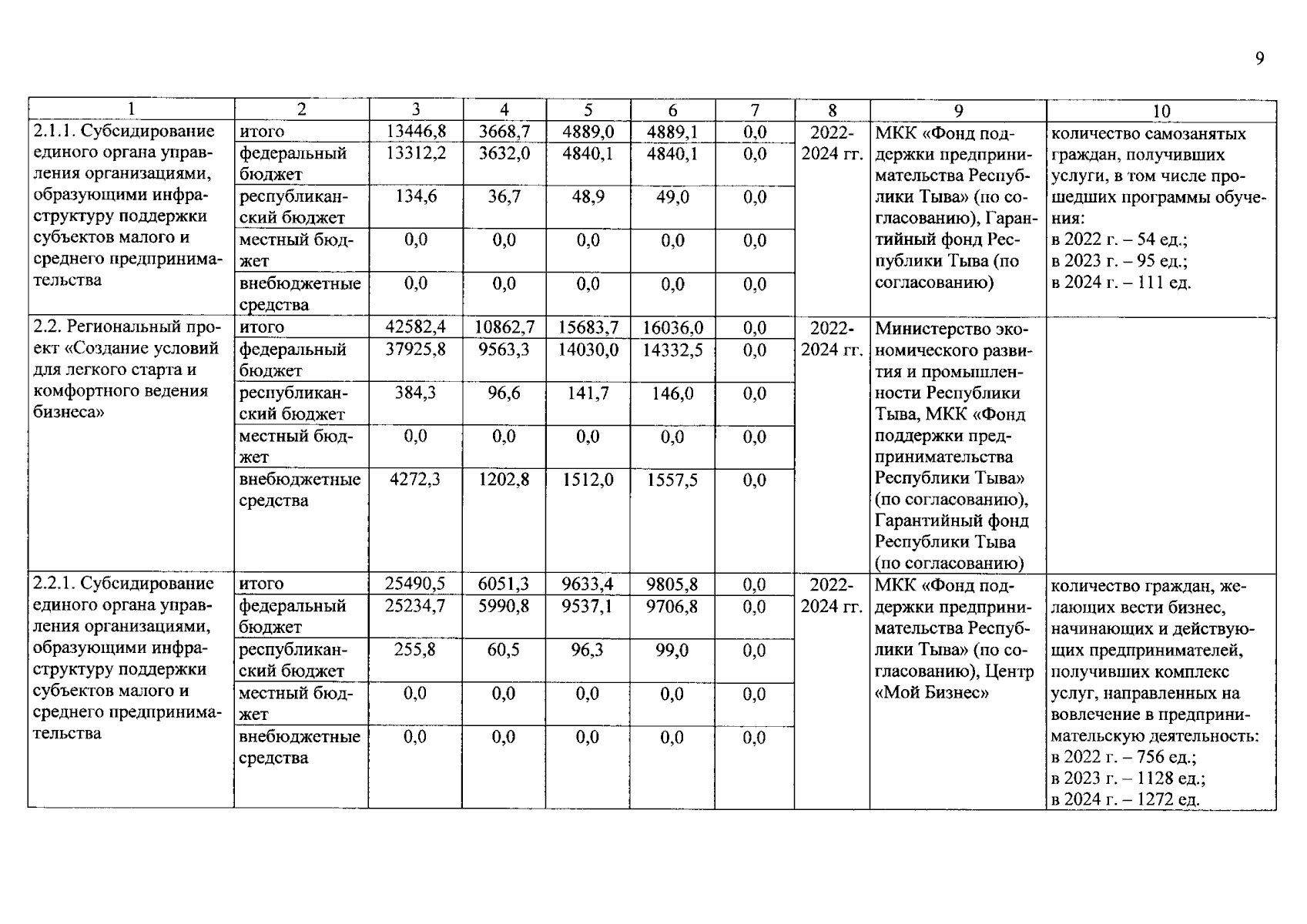
Постановление Правительства Республики Тыва от 29.12.2023 № 956
"О внесении изменений в государственную программу Республики Тыва "Развитие малого и среднего предпринимательства в Республике Тыва"
Номер опубликования: 1700202401040015
Дата опубликования: 04.01.2024
Страница №9 из 16:
Увеличить