Официальное опубликование правовых актов
ОФИЦИАЛЬНОЕ ОПУБЛИКОВАНИЕ
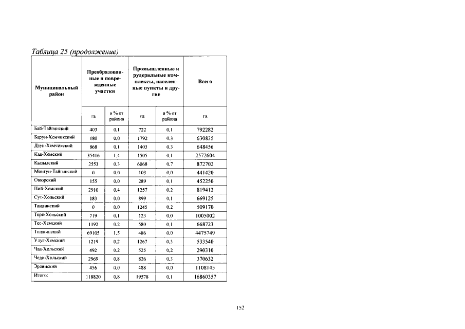
Указ Главы - Председателя Правительства Республики Тыва от 21.06.2017 № 120 "Об утверждении Схемы размещения, использования и охраны охотничьих угодий на территории Республики Тыва"
Номер опубликования: 1700201706230003
Дата опубликования: 23.06.2017
Страница №154 из 512:
Увеличить