Официальное опубликование правовых актов
ОФИЦИАЛЬНОЕ ОПУБЛИКОВАНИЕ
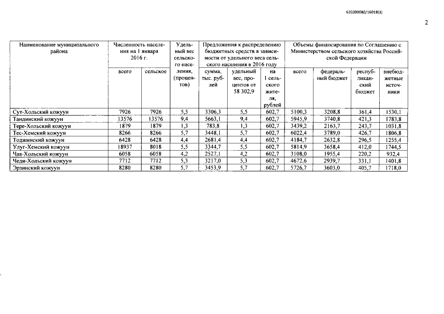
Постановление Правительства Республики Тыва от 29.06.2016 № 272 "О распределении субсидий, предоставляемых в 2016 году из федерального и республиканского бюджетов на софинансирование расходных обязательств муниципальных образований Республики Тыва, связанных с реализацией мероприятий по улучшению жилищных условий граждан, проживающих в сельской местности, в том числе молодых семей и молодых специалистов, в рамках подпрограммы "Устойчивое развитие сельских территорий Республики Тыва на 2014-2017 годы и на период до 2020 года" государственной программы Республики Тыва "Развитие сельского хозяйства и регулирование рынков сельскохозяйственной продукции, сырья и продовольствия в Республике Тыва на 2014-2020 годы"
Номер опубликования: 1700201607010003
Дата опубликования: 01.07.2016
Страница №4 из 17:
Увеличить