Официальное опубликование правовых актов
ОФИЦИАЛЬНОЕ ОПУБЛИКОВАНИЕ
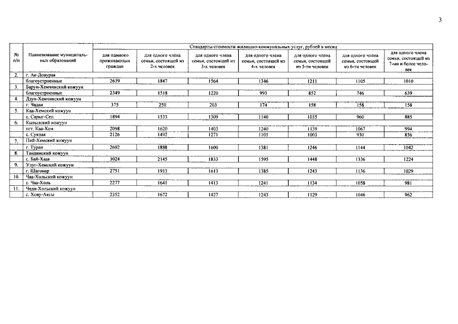
Постановление Правительства Республики Тыва от 31.03.2016 № 93 "О внесении изменений в постановление Правительства Республики Тыва "О республиканских стандартах нормативной площади жилого помещения и стоимости жилищно-коммунальных услуг для расчета субсидий на оплату жилого помещения и коммунальных услуг гражданам, проживающим в жилых помещениях государственного, муниципального и частного жилищных фондов"
Номер опубликования: 1700201604010002
Дата опубликования: 01.04.2016
Страница №3 из 32:
Увеличить