Официальное опубликование правовых актов
ОФИЦИАЛЬНОЕ ОПУБЛИКОВАНИЕ
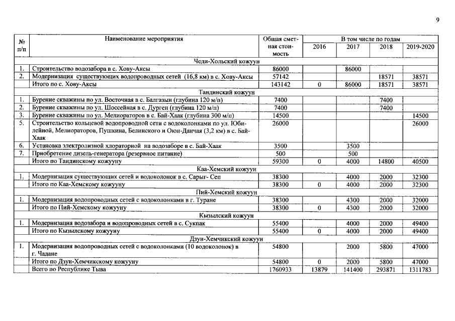
Постановление Правительства Республики Тыва от 16.03.2016 № 67 "О внесении изменений в государственную программу Республики Тыва "Повышение эффективности и надежности функционирования жилищно-коммунального хозяйства Республики Тыва на 2014-2020 годы"
Номер опубликования: 1700201603170005
Дата опубликования: 17.03.2016
Страница №9 из 33:
Увеличить