Официальное опубликование правовых актов
ОФИЦИАЛЬНОЕ ОПУБЛИКОВАНИЕ
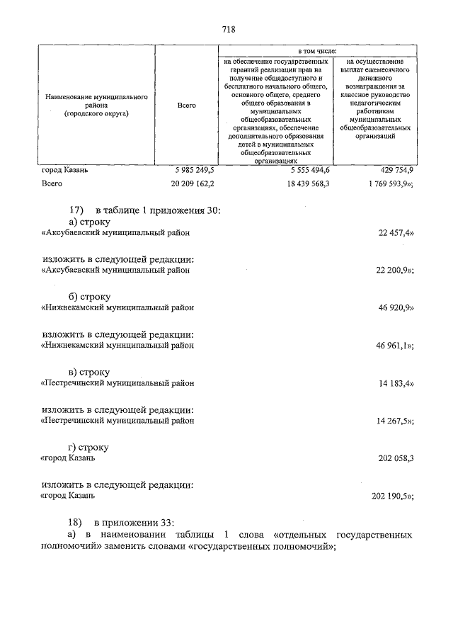
Закон Республики Татарстан от 25.12.2021 № 95-ЗРТ
"О внесении изменений в Закон Республики Татарстан "О бюджете Республики Татарстан на 2021 год и на плановый период 2022 и 2023 годов"
Номер опубликования: 1600202112300001
Дата опубликования: 30.12.2021
Страница №718 из 1415:
Увеличить