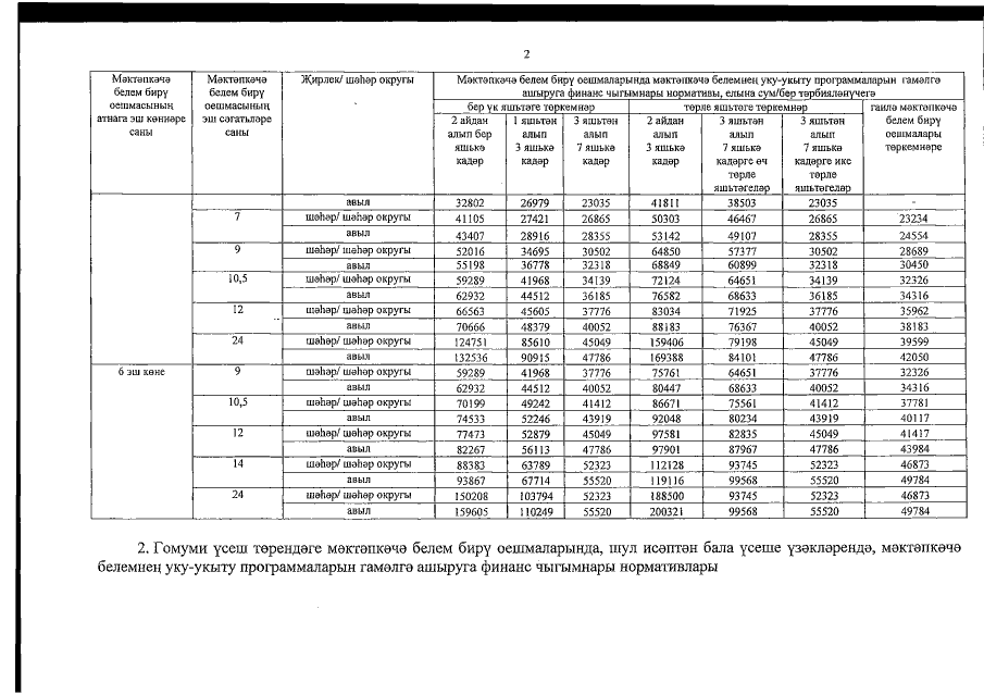
Закон Республики Татарстан от 25.09.2018 № 58-ЗРТ
"Об утверждении нормативов финансового обеспечения государственных гарантий реализации прав на получение общедоступного и бесплатного дошкольного образования в муниципальных дошкольных образовательных организациях в Республике Татарстан на 2019 год"
"Об утверждении нормативов финансового обеспечения государственных гарантий реализации прав на получение общедоступного и бесплатного дошкольного образования в муниципальных дошкольных образовательных организациях в Республике Татарстан на 2019 год"
Номер опубликования: 1600201810030003
Дата опубликования:
03.10.2018
