Официальное опубликование правовых актов
ОФИЦИАЛЬНОЕ ОПУБЛИКОВАНИЕ
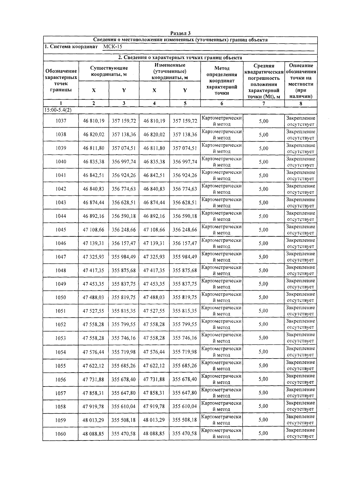
Приказ Министерства природных ресурсов и экологии Республики Северная Осетия-Алания от 13.04.2026 № 140
"Об утверждении местоположения береговой линии (границы водного объекта)"
(Зарегистрирован 15.04.2026 № 0146-26-1)
Номер опубликования: 1501202604200006
Дата опубликования: 20.04.2026
Страница №4 из 50:
Увеличить