Официальное опубликование правовых актов
ОФИЦИАЛЬНОЕ ОПУБЛИКОВАНИЕ
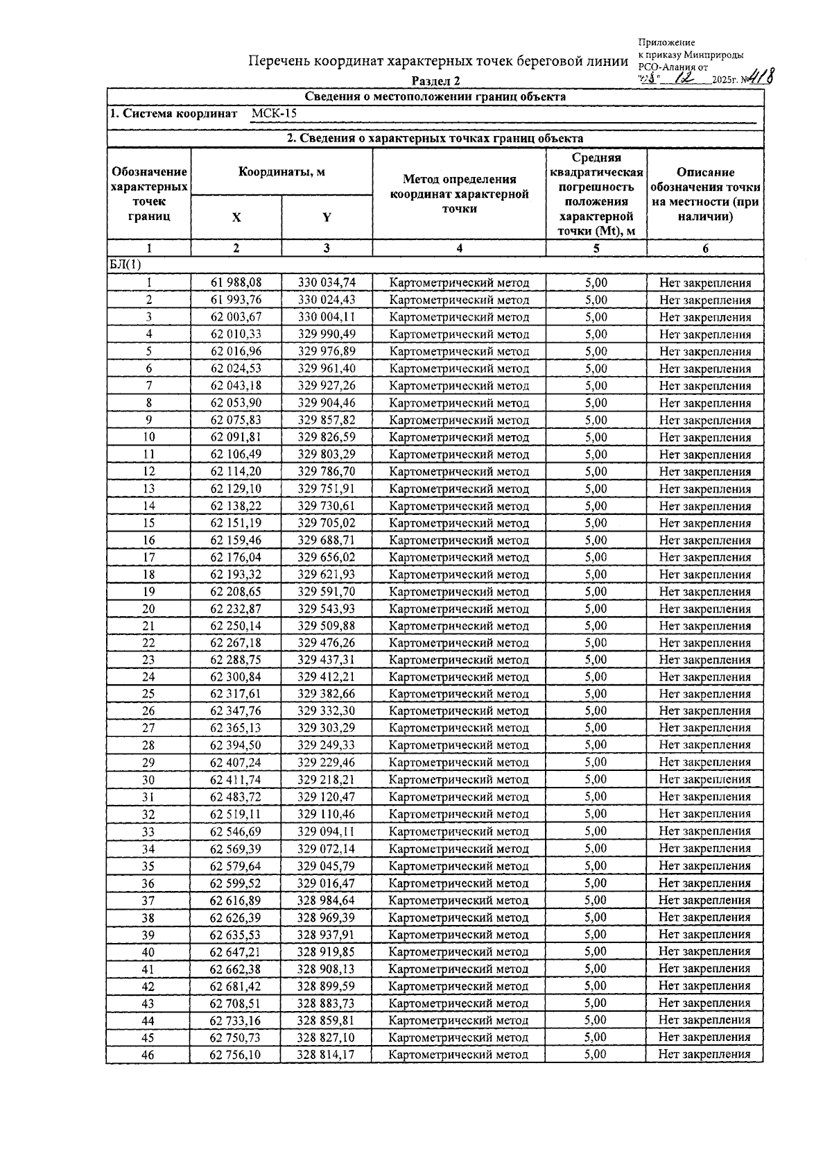
Приказ Министерства природных ресурсов и экологии Республики Северная Осетия-Алания от 08.12.2025 № 418
"Об утверждении местоположения береговой линии (границы водного объекта)"
(Зарегистрирован 09.12.2025 № 0241-25-1)
Номер опубликования: 1501202512100002
Дата опубликования: 10.12.2025
Страница №2 из 12:
Увеличить