Официальное опубликование правовых актов
ОФИЦИАЛЬНОЕ ОПУБЛИКОВАНИЕ
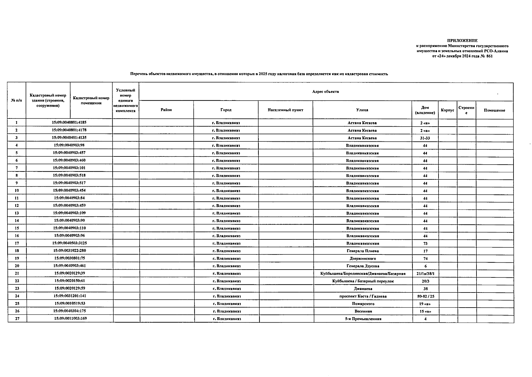
Распоряжение Министерства государственного имущества и земельных отношений Республики Северная Осетия-Алания от 24.12.2024 № 861
"Об утверждении перечня объектов недвижимого имущества, в отношении которых в 2025 году налоговая база определяется как их кадастровая стоимость"
(Зарегистрирован 25.12.2024 № 0394-24-1)
Номер опубликования: 1501202412250002
Дата опубликования: 25.12.2024
Страница №2 из 25:
Увеличить