Официальное опубликование правовых актов
ОФИЦИАЛЬНОЕ ОПУБЛИКОВАНИЕ
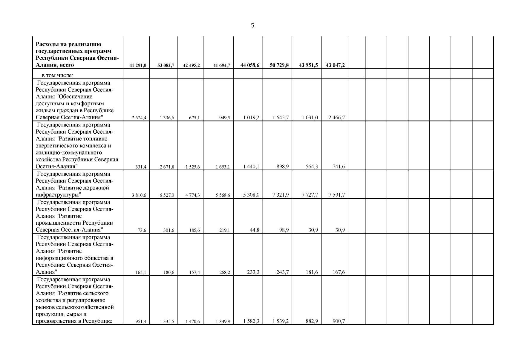
Постановление Правительства Республики Северная Осетия - Алания от 18.02.2026 № 40
"О внесении изменений в постановление Правительства Республики Северная Осетия-Алания от 22 февраля 2023 года № 70 "Об утверждении бюджетного прогноза Республики Северная Осетия-Алания на долгосрочный период до 2035 года"
Номер опубликования: 1500202602260002
Дата опубликования: 26.02.2026
Страница №6 из 12:
Увеличить