Официальное опубликование правовых актов
ОФИЦИАЛЬНОЕ ОПУБЛИКОВАНИЕ
Постановление Правительства Республики Северная Осетия - Алания от 23.12.2024 № 566
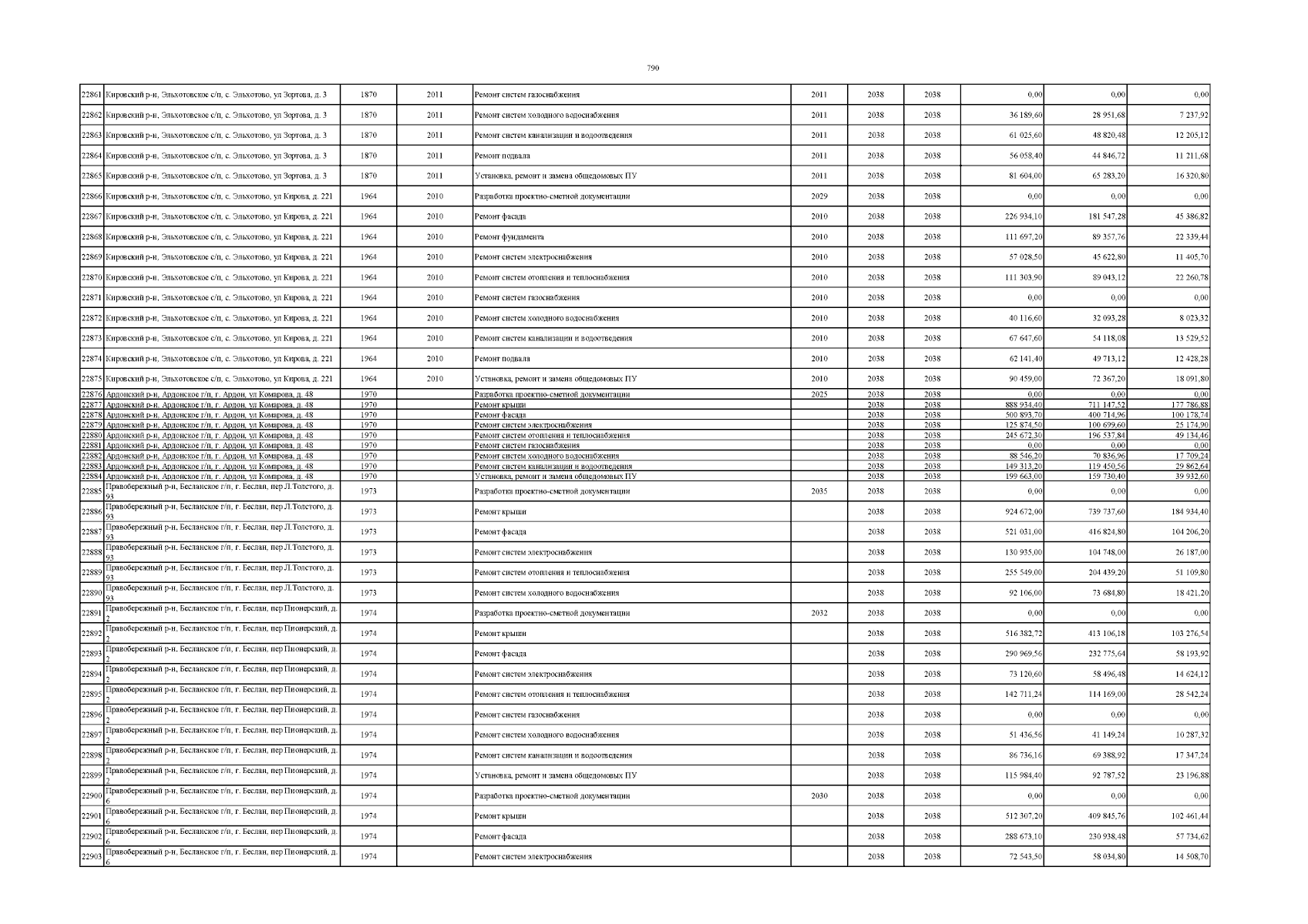
"О внесении изменений в постановление Правительства Республики Северная Осетия-Алания от 30 декабря 2013 года № 513 "О Республиканской программе "Капитальный ремонт общего имущества в многоквартирных домах" на 2014-2038 годы"
Номер опубликования: 1500202412260021
Дата опубликования: 26.12.2024
Страница №793 из 1080:
Увеличить