Официальное опубликование правовых актов
ОФИЦИАЛЬНОЕ ОПУБЛИКОВАНИЕ
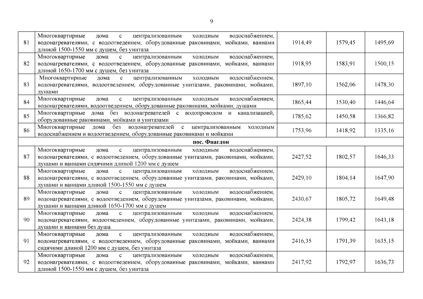
Постановление Правительства Республики Северная Осетия - Алания от 11.06.2024 № 289
"Об установлении стандартов, применяемых при определении прав граждан на получение субсидий на оплату жилого помещения и коммунальных услуг в Республике Северная Осетия-Алания"
Номер опубликования: 1500202406180025
Дата опубликования: 18.06.2024
Страница №47 из 116:
Увеличить