Официальное опубликование правовых актов
ОФИЦИАЛЬНОЕ ОПУБЛИКОВАНИЕ
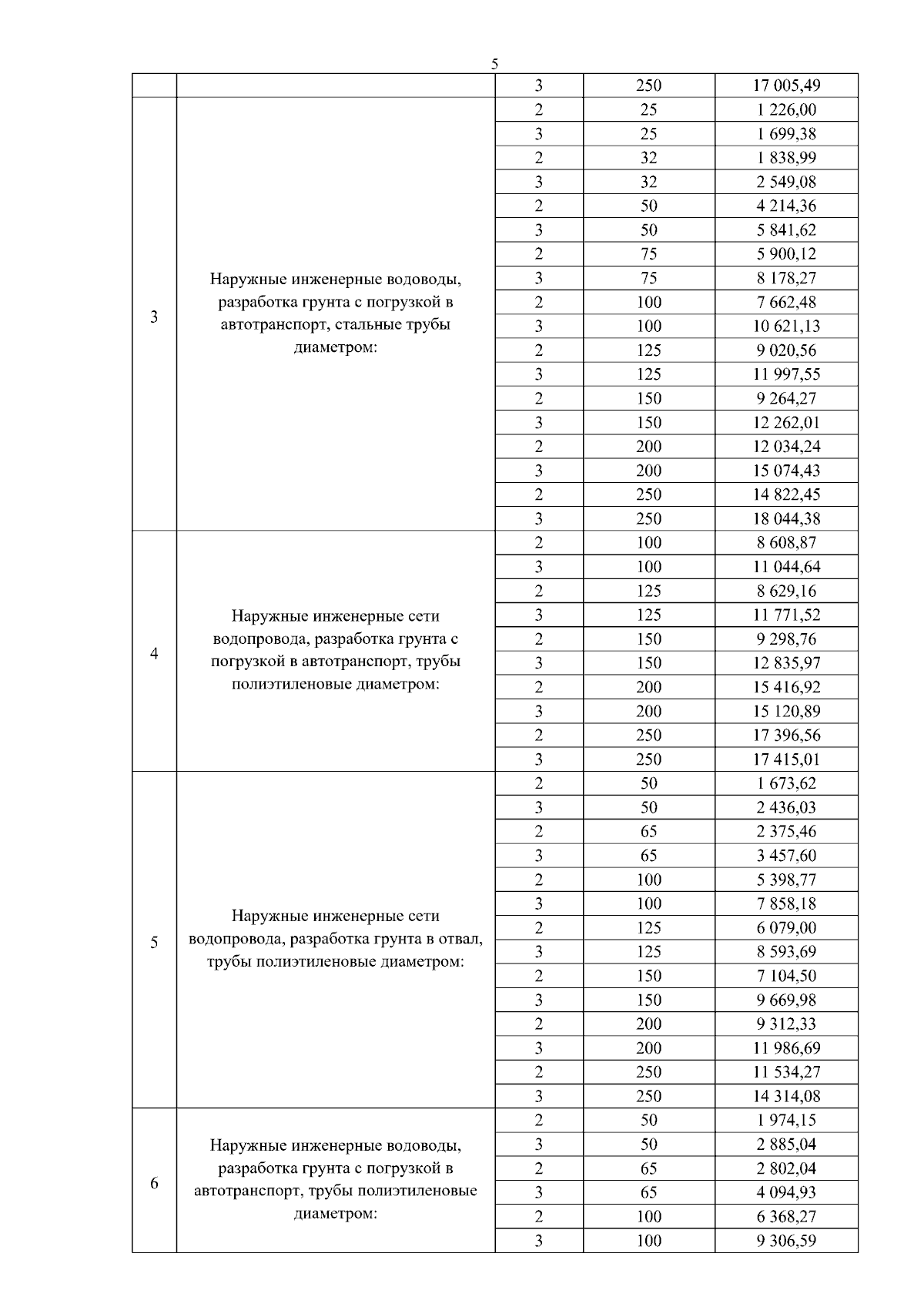
Постановление Государственного комитета по ценовой политике Республики Саха (Якутия) от 20.12.2024 № 290
"Об установлении ставок тарифов на подключение (технологическое присоединение) к централизованным системам холодного, горячего водоснабжения и водоотведения ГУП "Жилищно-коммунальное хозяйство Республики Саха (Якутия)" на 2025 год"
(Зарегистрирован 25.12.2024 № RU1401420222334)
Номер опубликования: 1401202412260016
Дата опубликования: 26.12.2024
Страница №5 из 15:
Увеличить