Официальное опубликование правовых актов
ОФИЦИАЛЬНОЕ ОПУБЛИКОВАНИЕ
Постановление Правительства Республики Саха (Якутия) от 16.04.2026 № 133
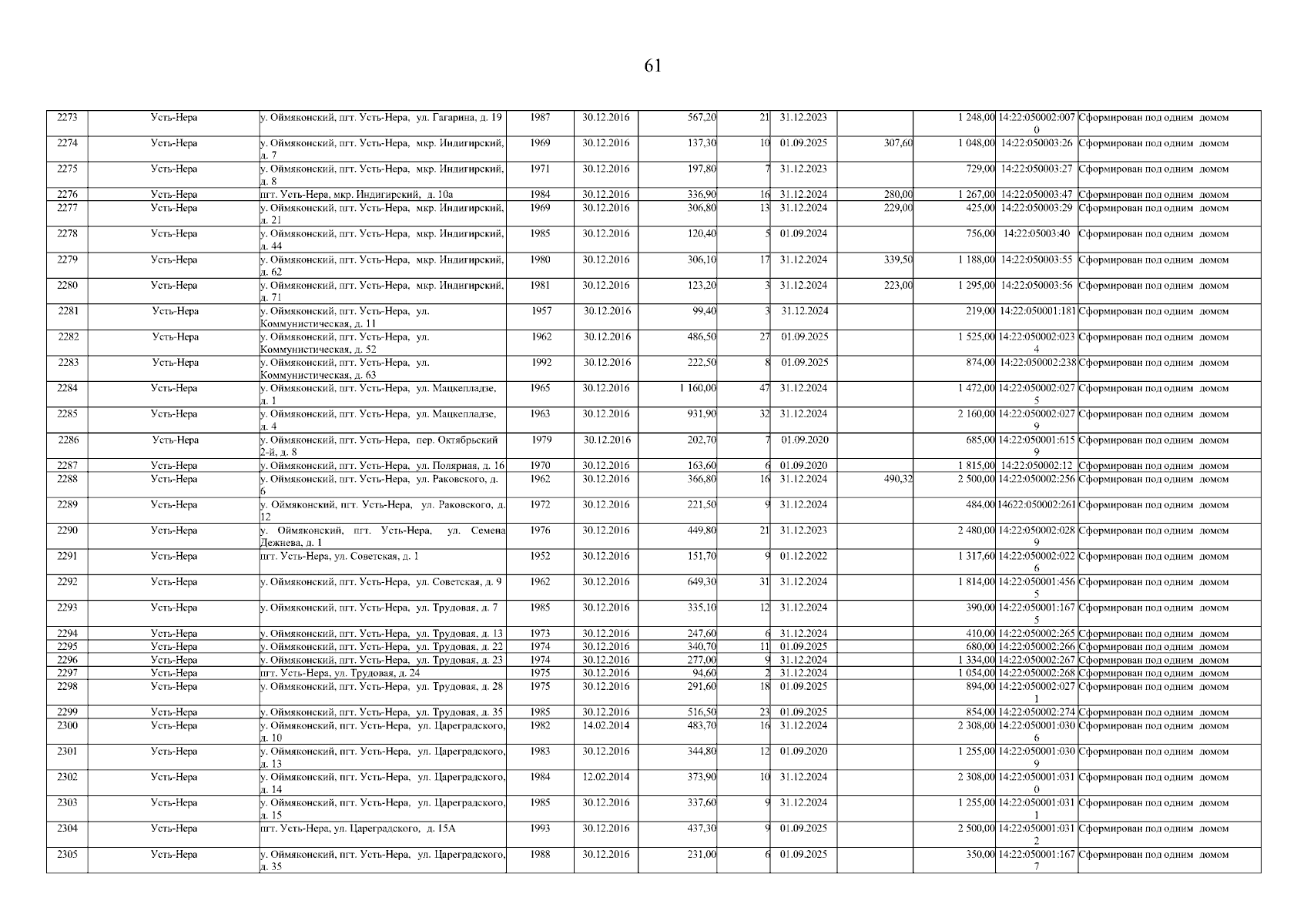
"О внесении изменений в республиканскую адресную программу "Переселение граждан из аварийного жилищного фонда на 2019 - 2025 годы", утвержденную постановлением Правительства Республики Саха (Якутия) от 27 марта 2019 г. № 50"
Номер опубликования: 1400202604200001
Дата опубликования: 20.04.2026
Страница №64 из 132:
Увеличить