Официальное опубликование правовых актов
ОФИЦИАЛЬНОЕ ОПУБЛИКОВАНИЕ
Постановление Правительства Республики Саха (Якутия) от 30.12.2025 № 553
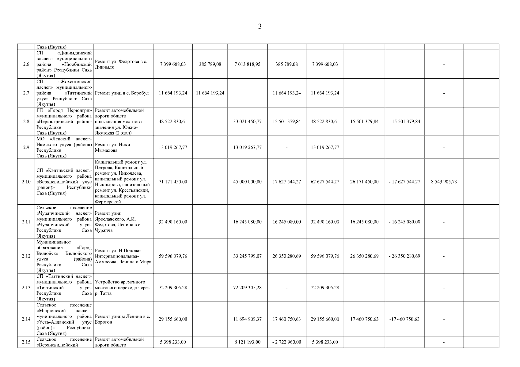
"О внесении изменений в постановление Правительства Республики Саха (Якутия) от 18 марта 2025 г. № 100 "О распределении субсидий местным бюджетам из Дорожного фонда Республики Саха (Якутия) на 2025 год и на плановый период 2026 и 2027 годов"
Номер опубликования: 1400202601050012
Дата опубликования: 05.01.2026
Страница №4 из 7:
Увеличить