Официальное опубликование правовых актов
ОФИЦИАЛЬНОЕ ОПУБЛИКОВАНИЕ
Постановление Правительства Республики Саха (Якутия) от 22.12.2025 № 522
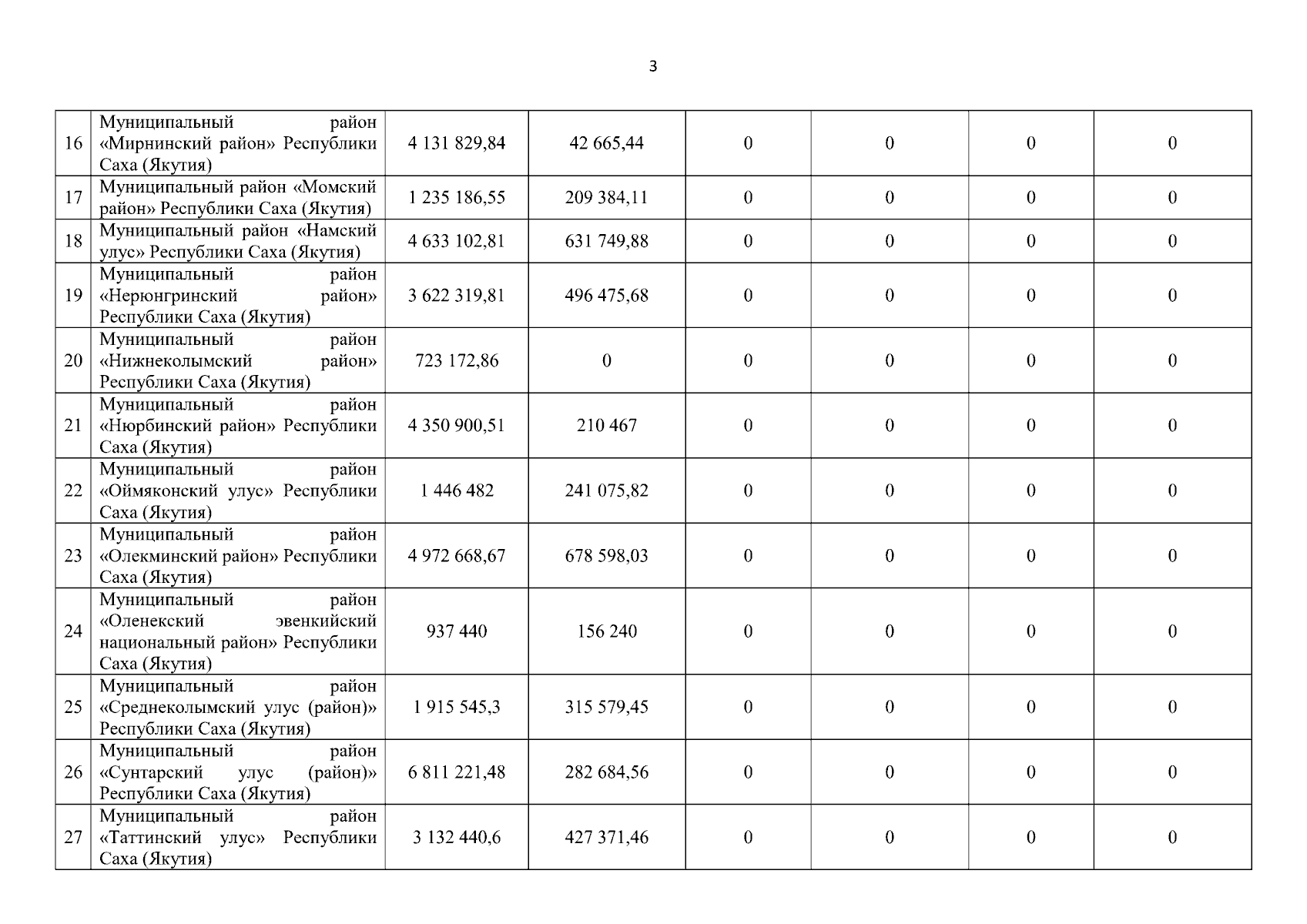
"О внесении изменений в распределение иных межбюджетных трансфертов из государственного бюджета Республики Саха (Якутия) местным бюджетам на финансовое обеспечение выплат ежемесячного денежного вознаграждения советникам директоров по воспитанию и взаимодействию с детскими общественными объединениями государственных общеобразовательных организаций и профессиональных образовательных организаций, муниципальных общеобразовательных организаций на 2025 год и на плановый период 2026 и 2027 годов, утвержденное постановлением Правительства Республики Саха (Якутия) от 19 февраля 2025 г. № 54"
Номер опубликования: 1400202512240003
Дата опубликования: 24.12.2025
Страница №4 из 5:
Увеличить