Официальное опубликование правовых актов
ОФИЦИАЛЬНОЕ ОПУБЛИКОВАНИЕ
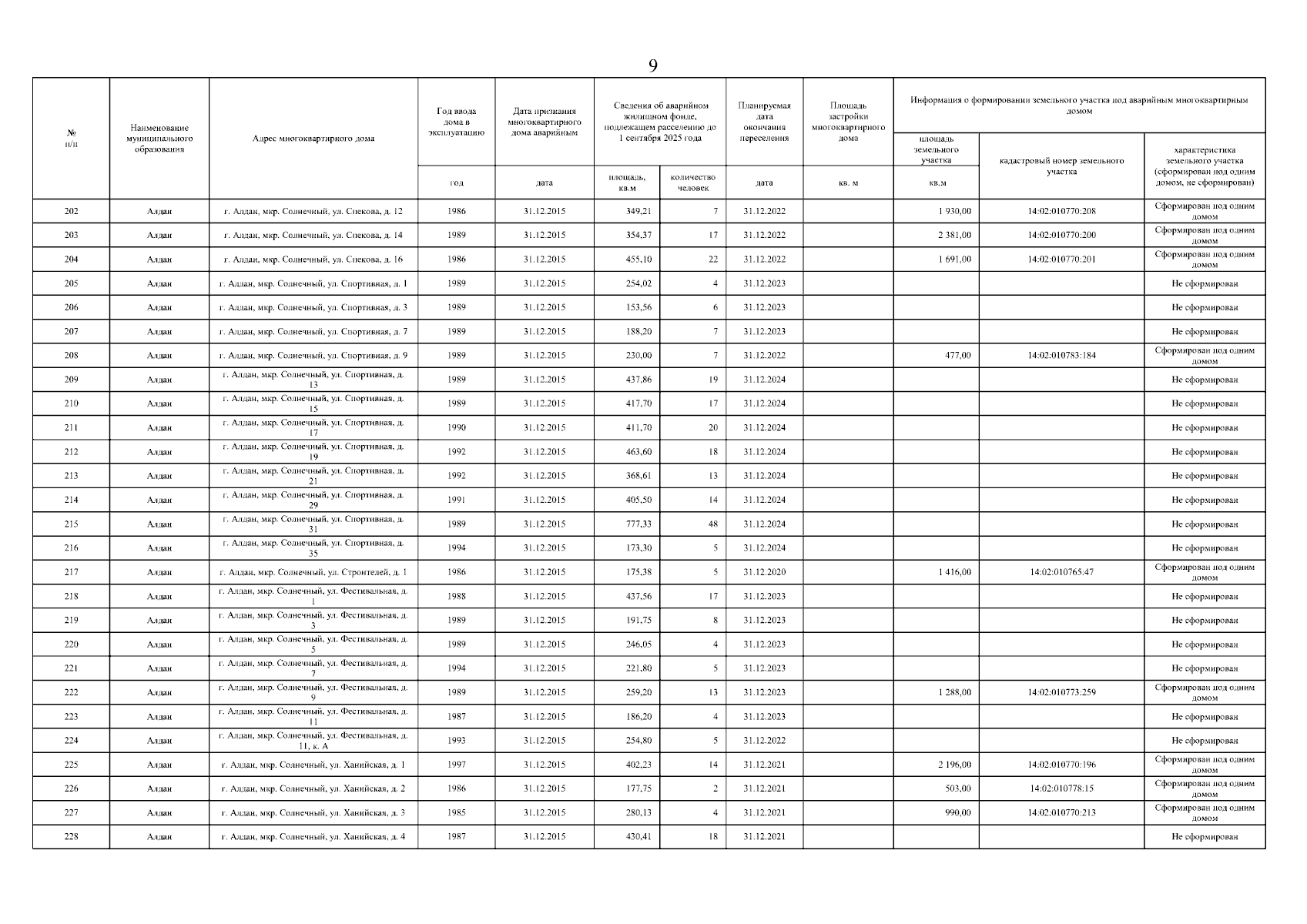
Постановление Правительства Республики Саха (Якутия) от 15.10.2024 № 489
"О внесении изменений в республиканскую адресную программу "Переселение граждан из аварийного жилищного фонда на 2019 - 2025 годы", утвержденную постановлением Правительства Республики Саха (Якутия) от 27 марта 2019 г. № 50"
Номер опубликования: 1400202410180005
Дата опубликования: 18.10.2024
Страница №11 из 201:
Увеличить