Официальное опубликование правовых актов
ОФИЦИАЛЬНОЕ ОПУБЛИКОВАНИЕ
Указ Главы Республики Саха (Якутия) от 31.10.2016 № 1459
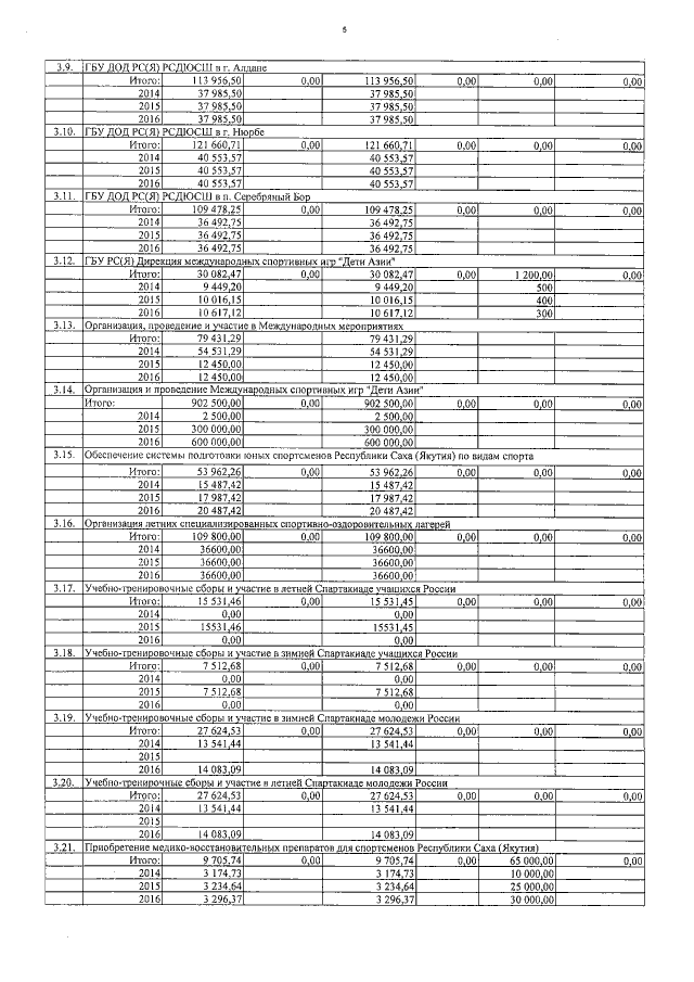
"О внесении изменений в государственную программу Республики Саха (Якутия) "Развитие физической культуры и спорта в Республике Саха (Якутия) на 2014-2019 годы", утвержденную Указом Президента Республики Саха (Якутия) от 30.12.2013 № 2437"
Номер опубликования: 1400201611030003
Дата опубликования: 03.11.2016
Страница №23 из 124:
Увеличить