Официальное опубликование правовых актов
ОФИЦИАЛЬНОЕ ОПУБЛИКОВАНИЕ
Указ Главы Республики Саха (Якутия) от 04.10.2016 № 1424
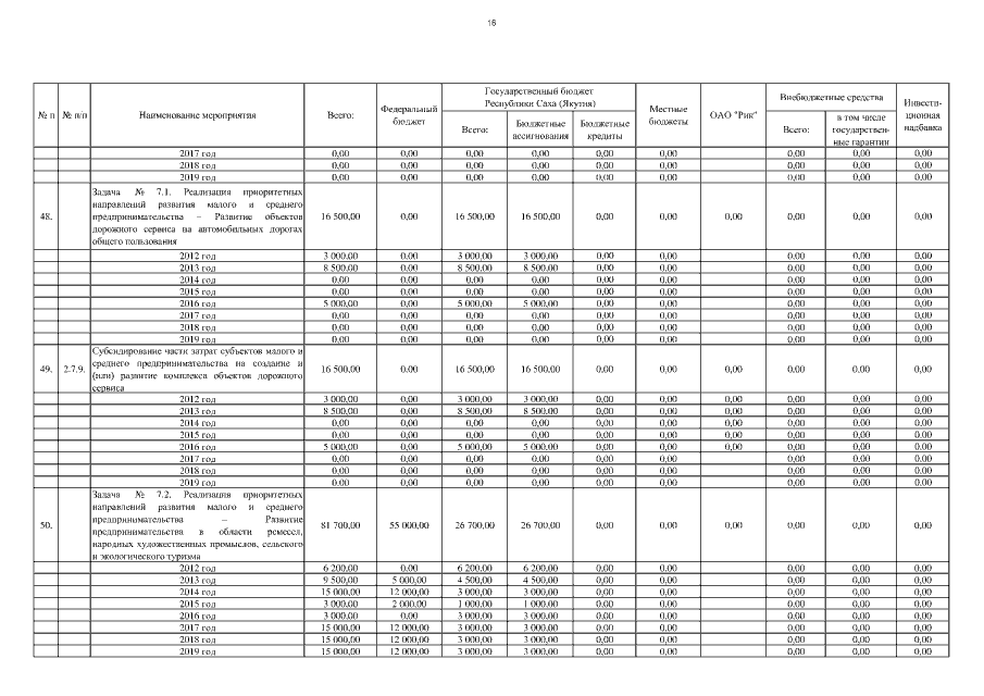
"О внесении изменений в Указ Президента Республики Саха (Якутия) от 12 октября 2011 г. № 980 "О государственной программе Республики Саха (Якутия) “Развитие предпринимательства в Республике Саха (Якутия) на 2012-2019 годы”"
Номер опубликования: 1400201610110001
Дата опубликования: 11.10.2016
Страница №56 из 140:
Увеличить