Официальное опубликование правовых актов
ОФИЦИАЛЬНОЕ ОПУБЛИКОВАНИЕ
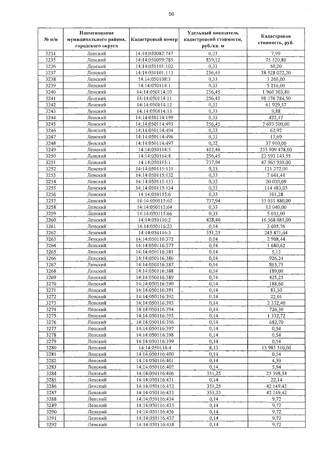
Постановление Правительства Республики Саха (Якутия) от 19.01.2016 № 10
"О кадастровой стоимости земель промышленности, энергетики, транспорта, связи, радиовещания, телевидения, информатики, земель для обеспечения космической деятельности, земель обороны, безопасности и земель иного специального назначения на территории Республики Саха (Якутия)"
Номер опубликования: 1400201601220004
Дата опубликования: 22.01.2016
Страница №76 из 144:
Увеличить