Официальное опубликование правовых актов
ОФИЦИАЛЬНОЕ ОПУБЛИКОВАНИЕ
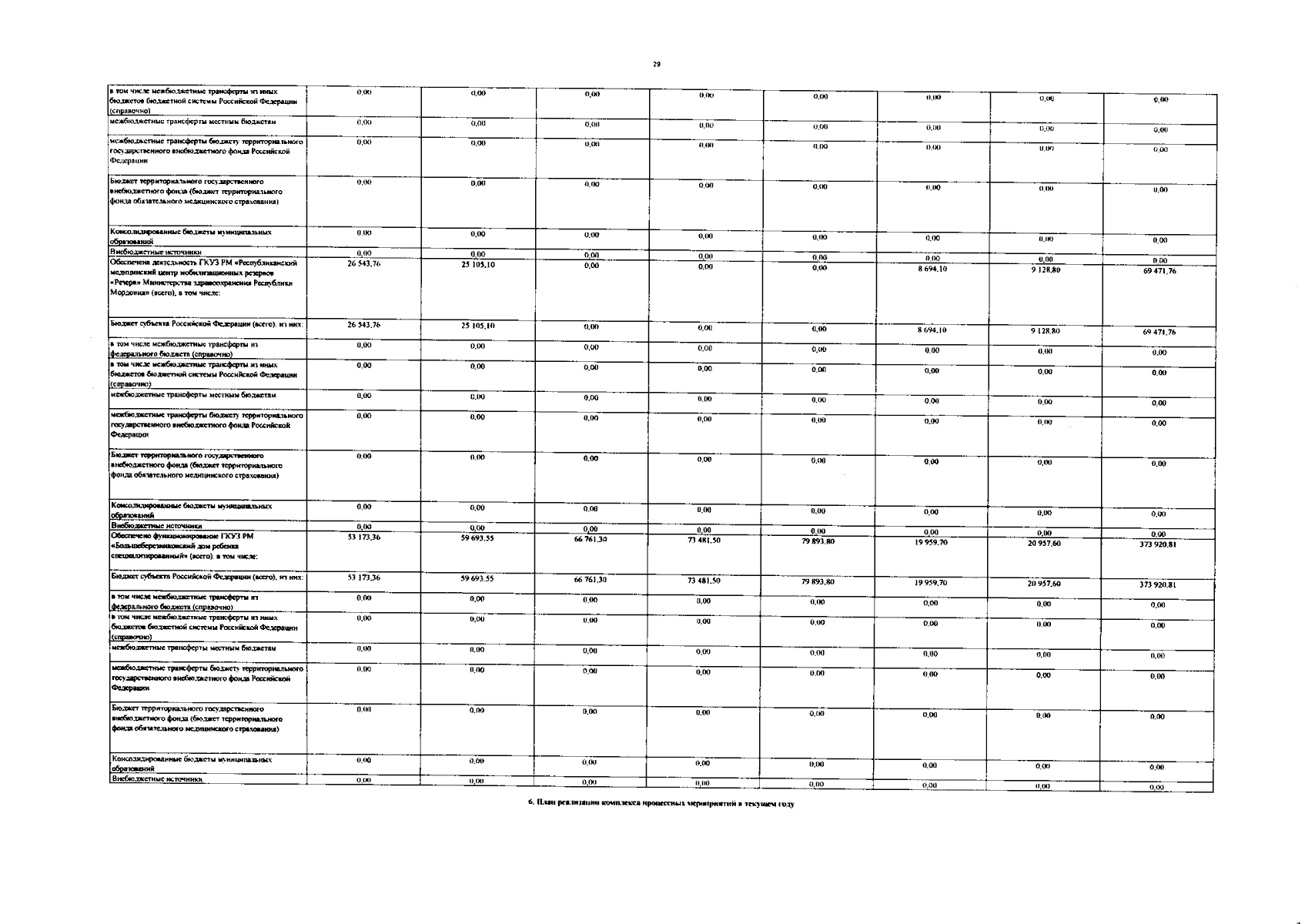
Приказ Министерства здравоохранения Республики Мордовия от 30.01.2026 № 67
"О внесении изменений в приказ Министерства здравоохранения Республики Мордовия от 9 января 2024г. № 2 "Об утверждении паспортов комплексов процессных мероприятий Государственной программы Республики Мордовия "Развитие здравоохранения Республики Мордовия", утвержденной постановлением Правительства Республики Мордовия от 27.12.2023 г. № 772"
(Зарегистрирован 30.01.2026 № 022026003)
Номер опубликования: 1301202602030001
Дата опубликования: 03.02.2026
Страница №29 из 50:
Увеличить