Официальное опубликование правовых актов
ОФИЦИАЛЬНОЕ ОПУБЛИКОВАНИЕ
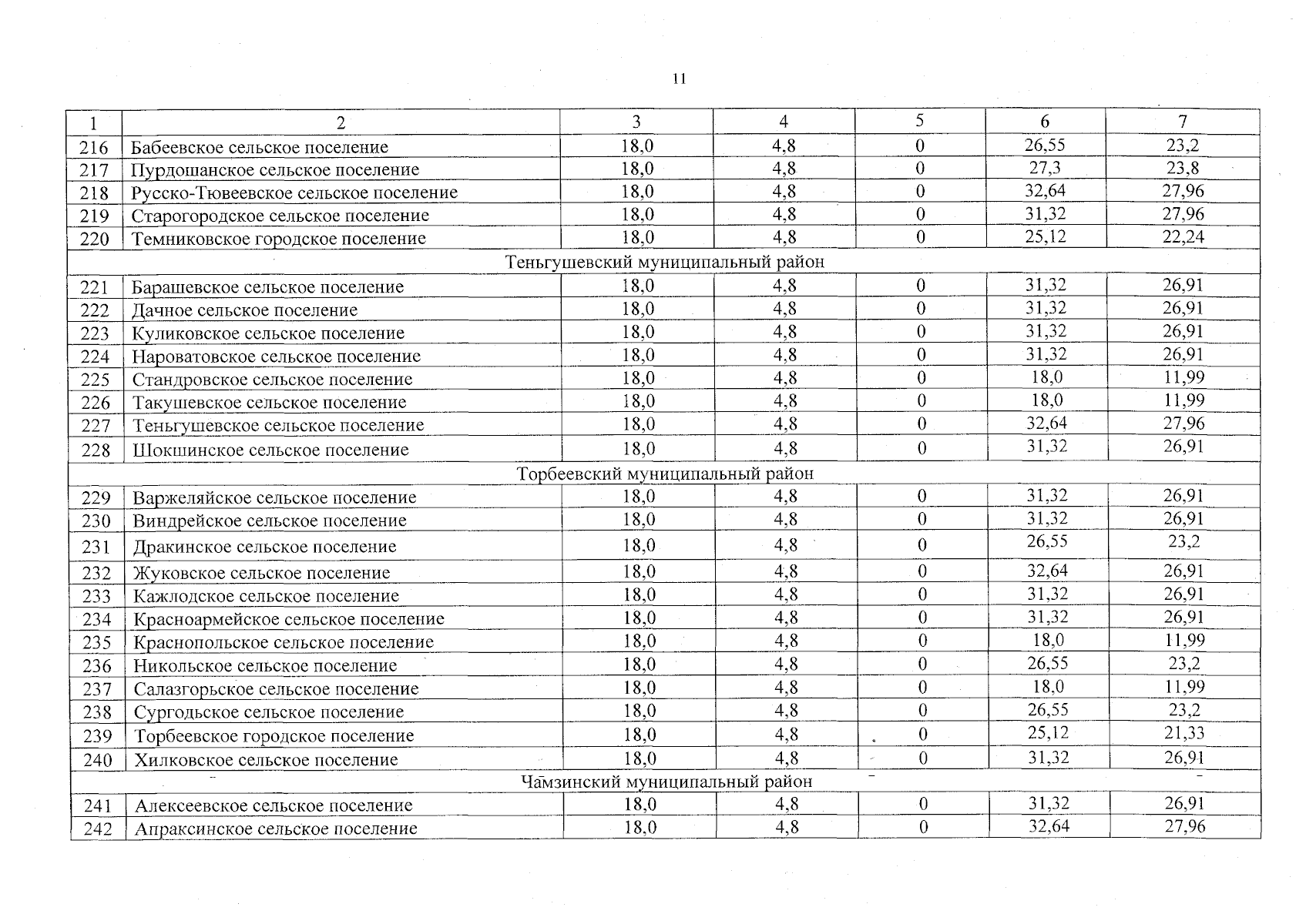
Приказ Государственного комитета по тарифам Республики Мордовия от 13.01.2026 № 1
"О результатах мониторинга соблюдения предельных (максимальных) индексов изменения размера вносимой гражданами платы за коммунальные услуги в муниципальных образованиях Республики Мордовия за декабрь 2025 года"
(Зарегистрирован 13.01.2026 № 192026001)
Номер опубликования: 1301202601160001
Дата опубликования: 16.01.2026
Страница №11 из 12:
Увеличить