Приказ Государственного комитета по тарифам Республики Мордовия от 17.12.2025 № 250
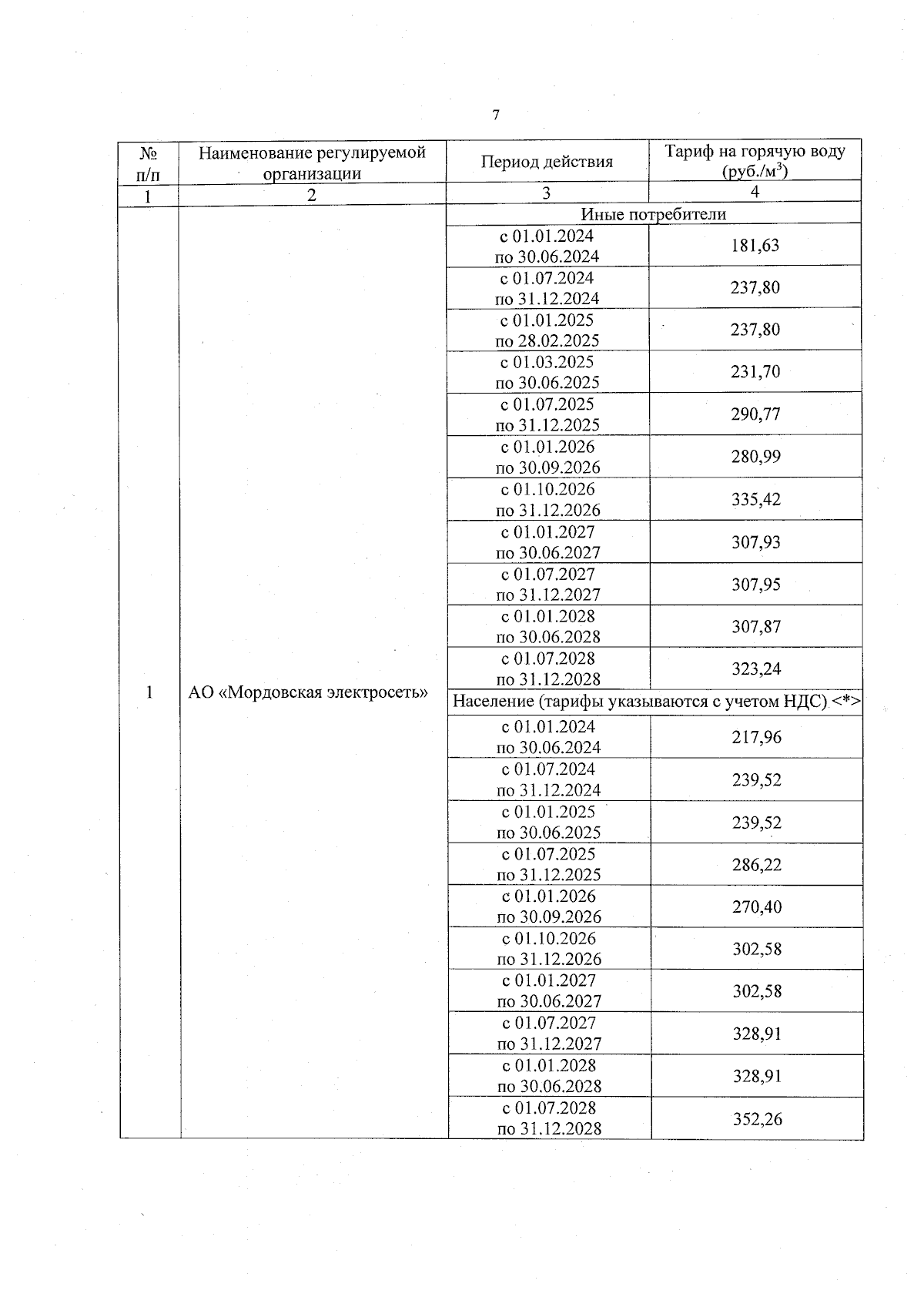
"О внесении изменений в приказ Государственного комитета по тарифам Республики Мордовия от 18 декабря 2023 г. № 291 "Об утверждении производственной программы и установлении тарифов на горячую воду в закрытых системах горячего водоснабжения для АО "Мордовская электросеть", оказывающего услуги в сфере горячего водоснабжения на 2024-2028 годы"
(Зарегистрирован 17.12.2025 № 192025137)
"О внесении изменений в приказ Государственного комитета по тарифам Республики Мордовия от 18 декабря 2023 г. № 291 "Об утверждении производственной программы и установлении тарифов на горячую воду в закрытых системах горячего водоснабжения для АО "Мордовская электросеть", оказывающего услуги в сфере горячего водоснабжения на 2024-2028 годы"
(Зарегистрирован 17.12.2025 № 192025137)
Номер опубликования: 1301202512190035
Дата опубликования:
19.12.2025
