Официальное опубликование правовых актов
ОФИЦИАЛЬНОЕ ОПУБЛИКОВАНИЕ
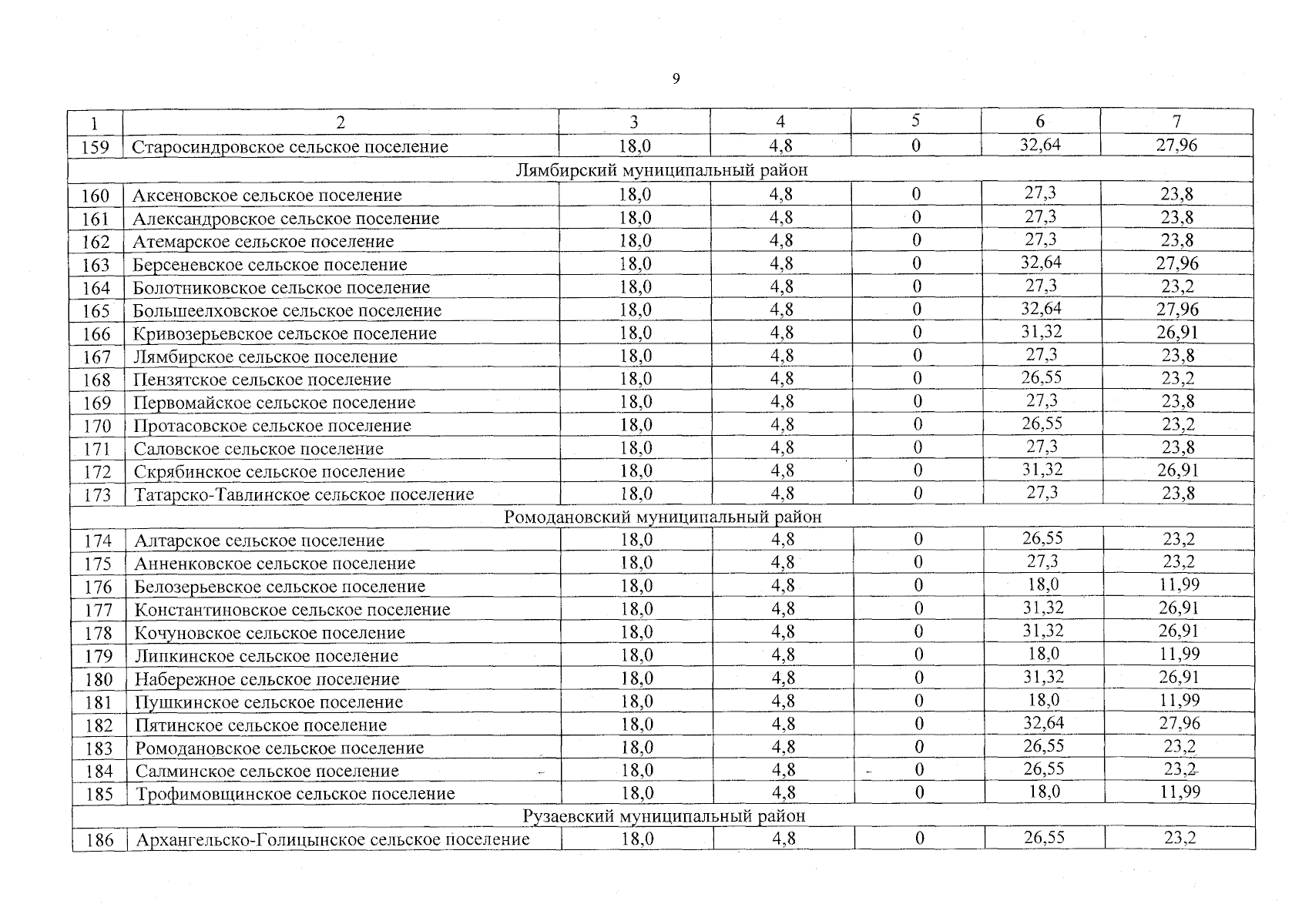
Приказ Государственного комитета по тарифам Республики Мордовия от 15.12.2025 № 178
"О результатах мониторинга соблюдения предельных (максимальных) индексов изменения размера вносимой гражданами платы за коммунальные услуги в муниципальных образованиях Республики Мордовия за ноябрь 2025 года"
(Зарегистрирован 15.12.2025 № 192025069)
Номер опубликования: 1301202512180028
Дата опубликования: 18.12.2025
Страница №9 из 12:
Увеличить