Официальное опубликование правовых актов
ОФИЦИАЛЬНОЕ ОПУБЛИКОВАНИЕ
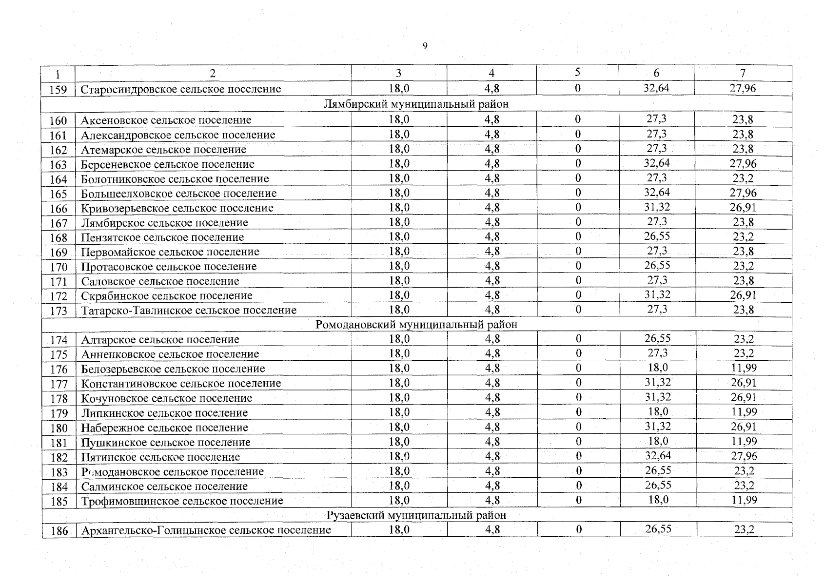
Приказ Государственного комитета по тарифам Республики Мордовия от 17.11.2025 № 143
"О результатах мониторинга соблюдения предельных (максимальных) индексов изменения размера вносимой гражданами платы за коммунальные услуги в муниципальных образованиях Республики Мордовия за октябрь 2025 года"
(Зарегистрирован 17.11.2025 № 192025057)
Номер опубликования: 1301202511180003
Дата опубликования: 18.11.2025
Страница №9 из 12:
Увеличить