Официальное опубликование правовых актов
ОФИЦИАЛЬНОЕ ОПУБЛИКОВАНИЕ
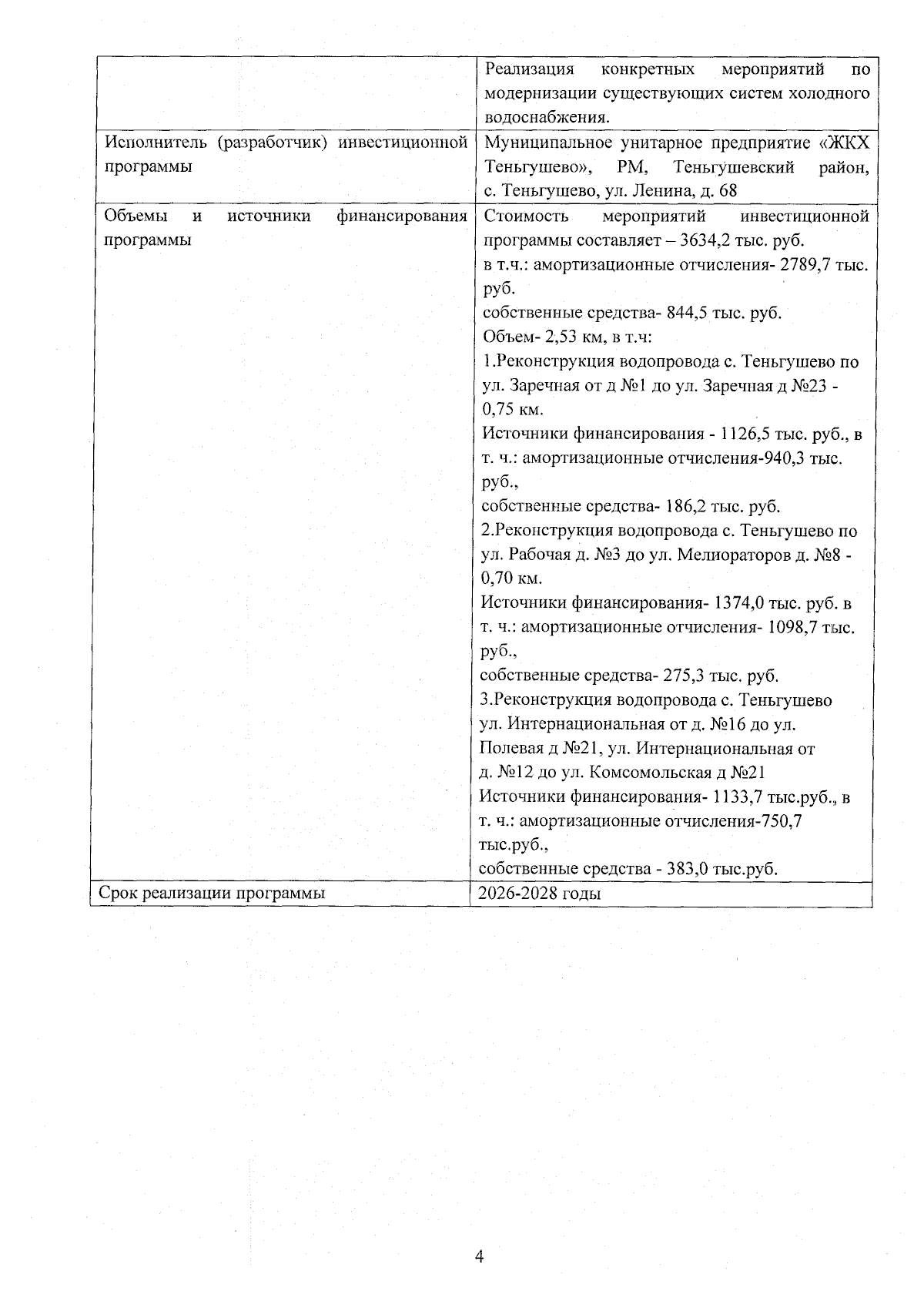
Приказ Государственного комитета по тарифам Республики Мордовия от 30.10.2025 № 135
"Об утверждении инвестиционной программы Муниципального унитарного предприятия "ЖКХ Теньгушево" на 2026 – 2028 годы"
(Зарегистрирован 05.11.2025 № 192025054)
Номер опубликования: 1301202511070001
Дата опубликования: 07.11.2025
Страница №4 из 8:
Увеличить