Официальное опубликование правовых актов
ОФИЦИАЛЬНОЕ ОПУБЛИКОВАНИЕ
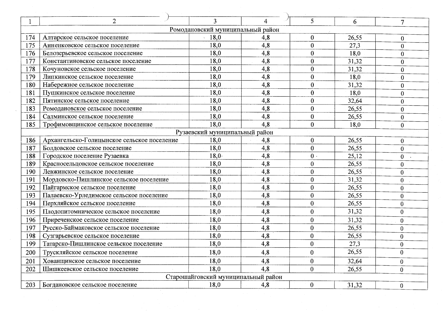
Приказ Государственного комитета по тарифам Республики Мордовия от 17.03.2025 № 32
"О результатах мониторинга соблюдения предельных (максимальных) индексов изменения размера вносимой гражданами платы за коммунальные услуги в муниципальных образованиях Республики Мордовия за февраль 2025 года"
(Зарегистрирован 17.03.2025 № 192025018)
Номер опубликования: 1301202503240001
Дата опубликования: 24.03.2025
Страница №9 из 11:
Увеличить