Официальное опубликование правовых актов
ОФИЦИАЛЬНОЕ ОПУБЛИКОВАНИЕ
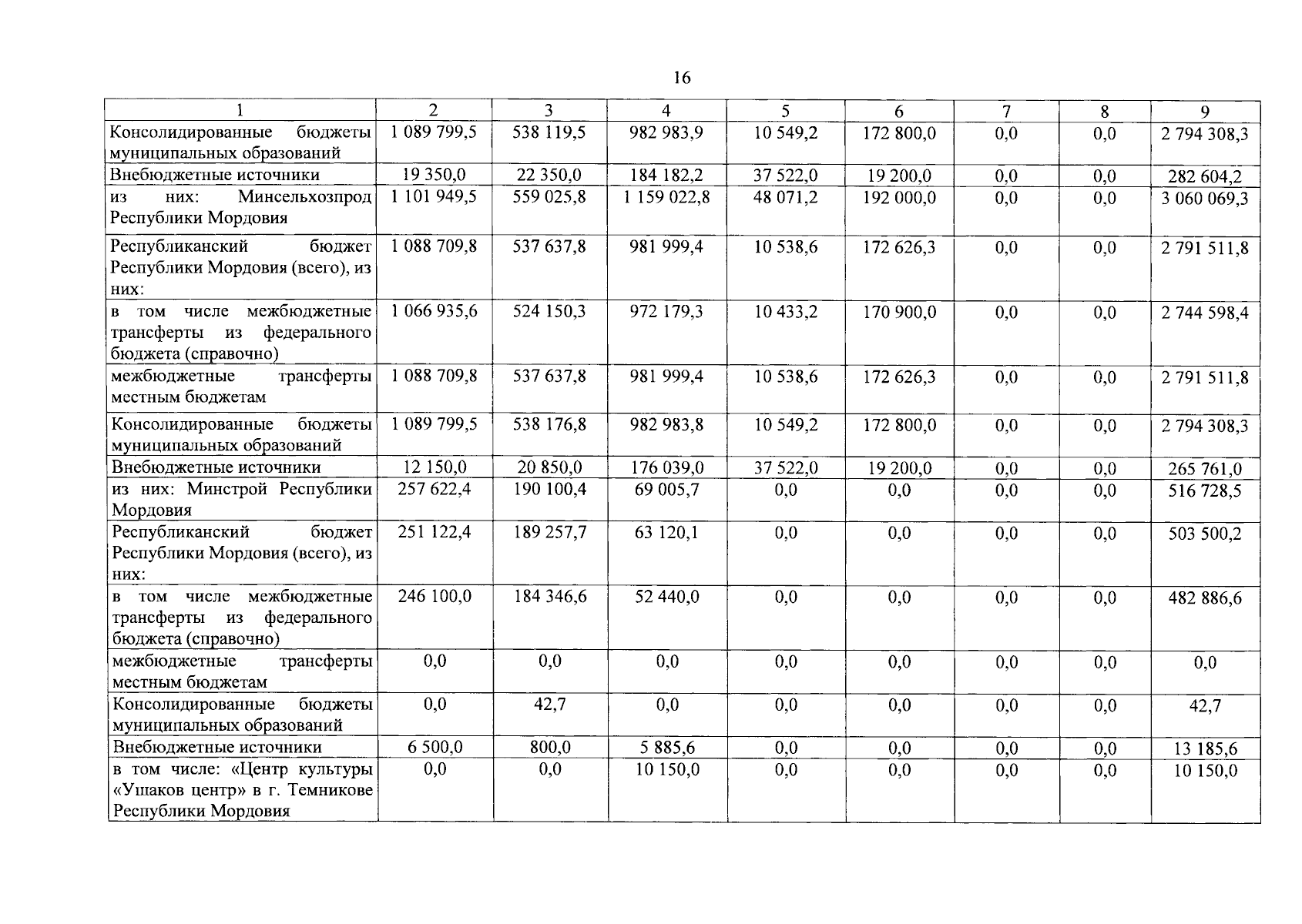
Постановление Правительства Республики Мордовия от 22.04.2026 № 395
"О внесении изменений в постановление Правительства Республики Мордовия от 27 декабря 2023 г. № 782"
Номер опубликования: 1300202604240001
Дата опубликования: 24.04.2026
Страница №16 из 39:
Увеличить