Официальное опубликование правовых актов
ОФИЦИАЛЬНОЕ ОПУБЛИКОВАНИЕ
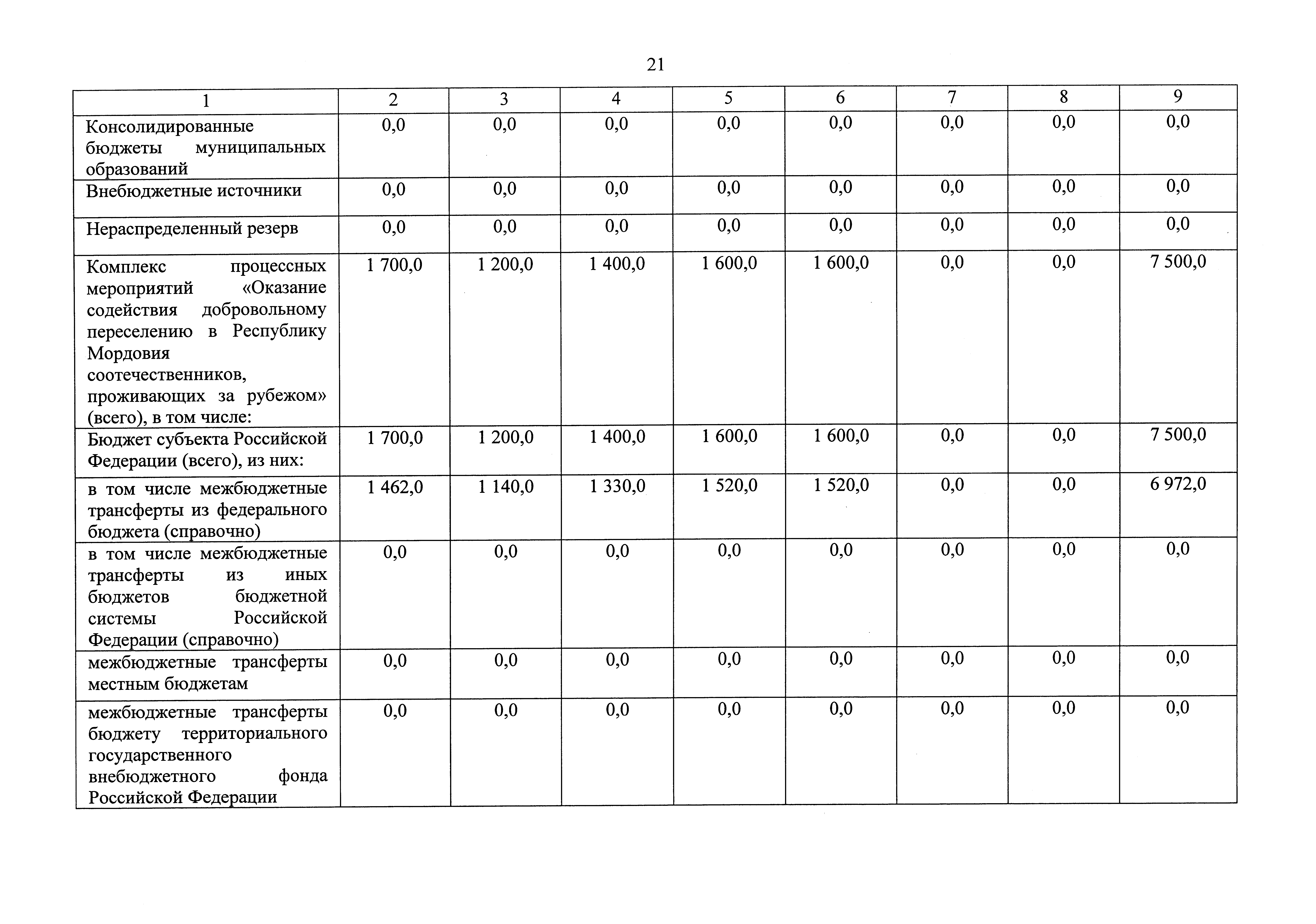
Постановление Правительства Республики Мордовия от 25.02.2026 № 131
"О внесении изменения в приложение 1 к Государственной программе развития рынка труда и улучшения условий труда в Республике Мордовия"
Номер опубликования: 1300202602260011
Дата опубликования: 26.02.2026
Страница №21 из 22: