Официальное опубликование правовых актов
ОФИЦИАЛЬНОЕ ОПУБЛИКОВАНИЕ
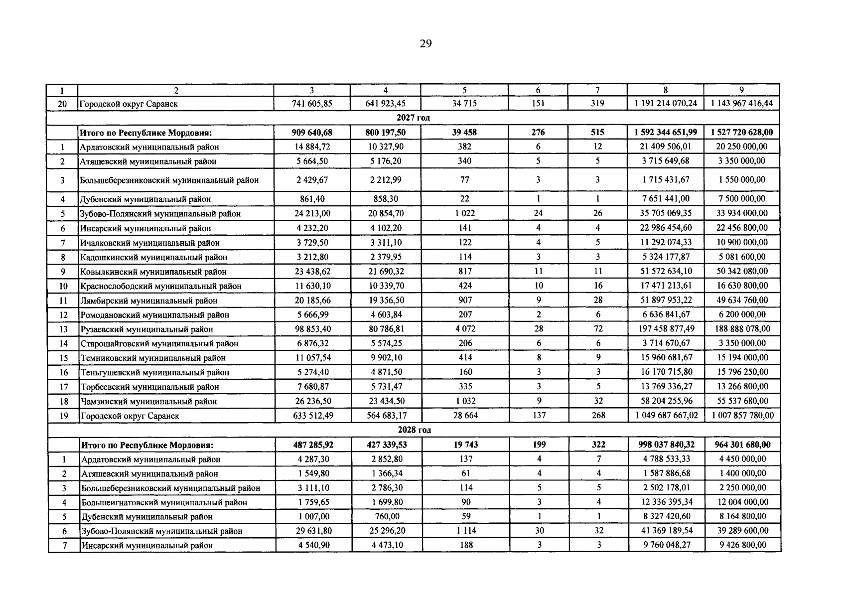
Постановление Правительства Республики Мордовия от 25.02.2026 № 126
"О внесении изменений в постановление Правительства Республики Мордовия от 29 апреля 2025 г. № 429"
Номер опубликования: 1300202602260009
Дата опубликования: 26.02.2026
Страница №29 из 30:
Увеличить