Официальное опубликование правовых актов
ОФИЦИАЛЬНОЕ ОПУБЛИКОВАНИЕ
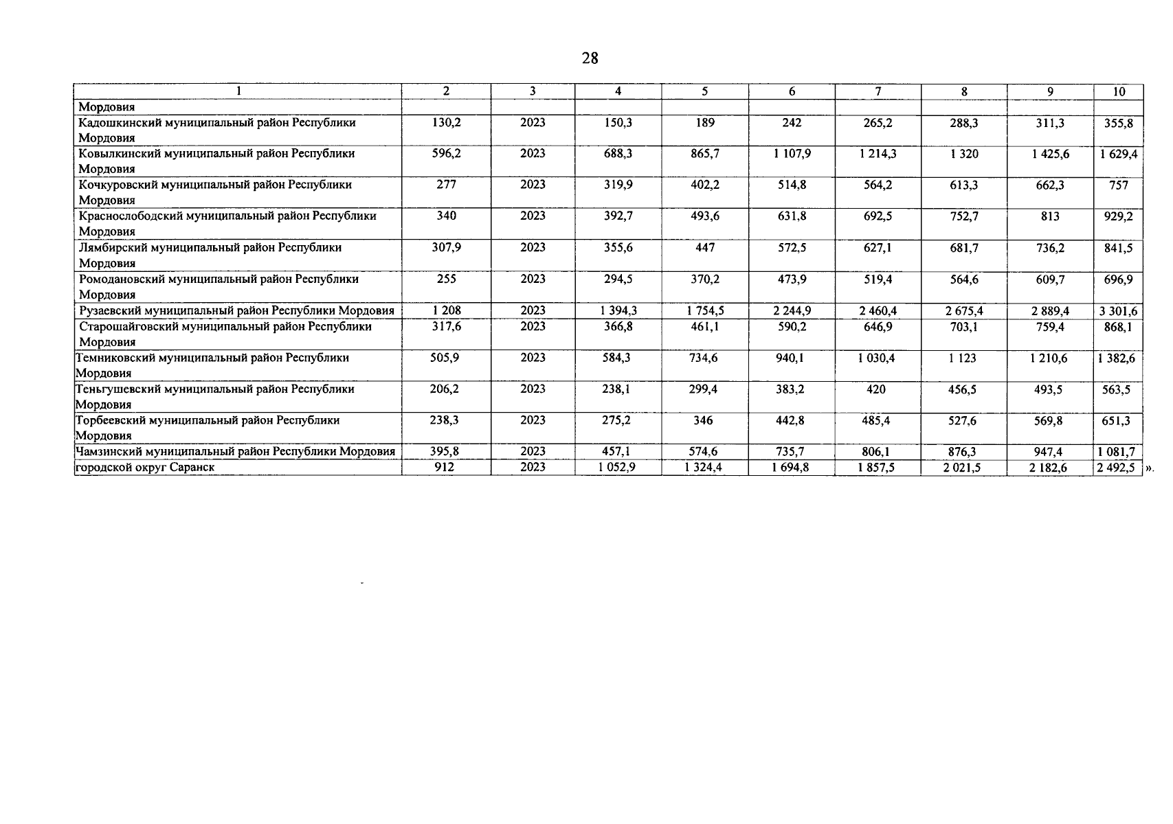
Постановление Правительства Республики Мордовия от 04.02.2026 № 59
"О внесении изменений в отдельные постановления Правительства Республики Мордовия"
Номер опубликования: 1300202602090005
Дата опубликования: 09.02.2026
Страница №28 из 77:
Увеличить