Официальное опубликование правовых актов
ОФИЦИАЛЬНОЕ ОПУБЛИКОВАНИЕ
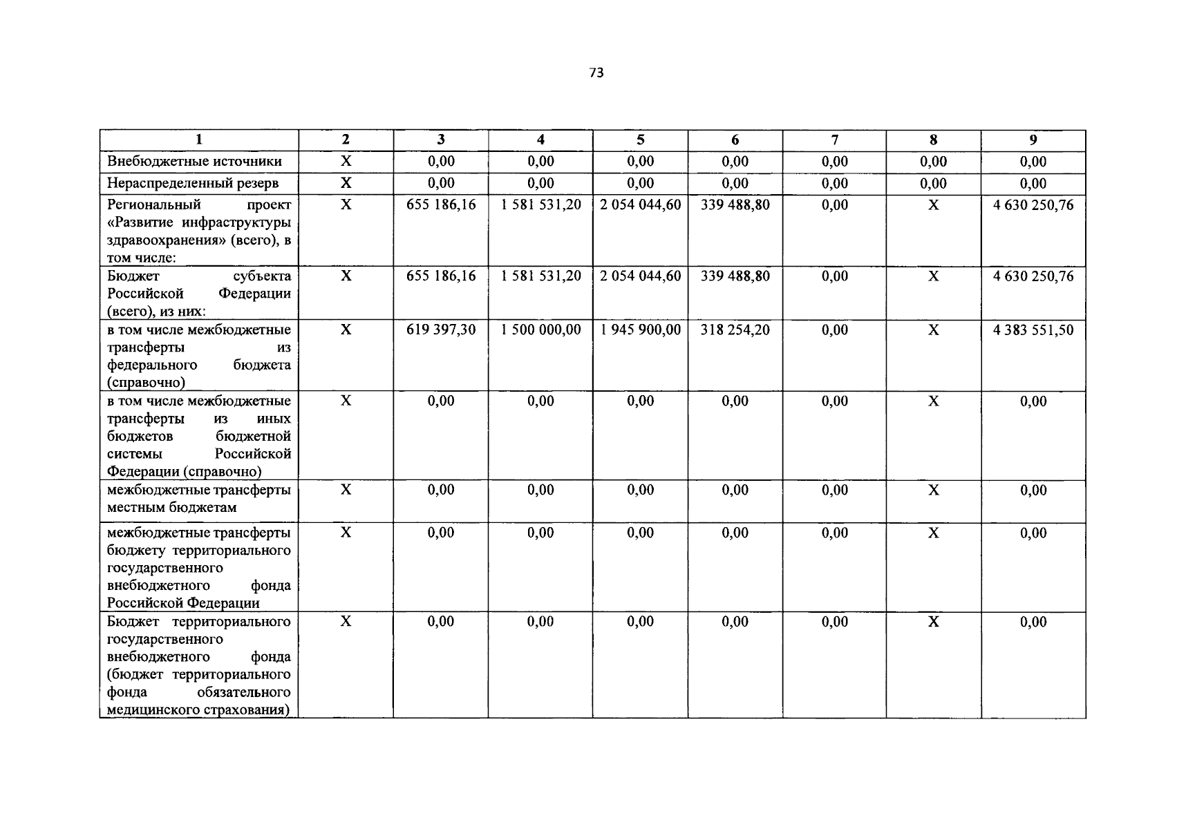
Постановление Правительства Республики Мордовия от 04.02.2026 № 57
"Об установлении расходного обязательства Республики Мордовия и внесении изменений в государственную программу Республики Мордовия "Развитие здравоохранения Республики Мордовия"
Номер опубликования: 1300202602090004
Дата опубликования: 09.02.2026
Страница №73 из 105:
Увеличить