Официальное опубликование правовых актов
ОФИЦИАЛЬНОЕ ОПУБЛИКОВАНИЕ
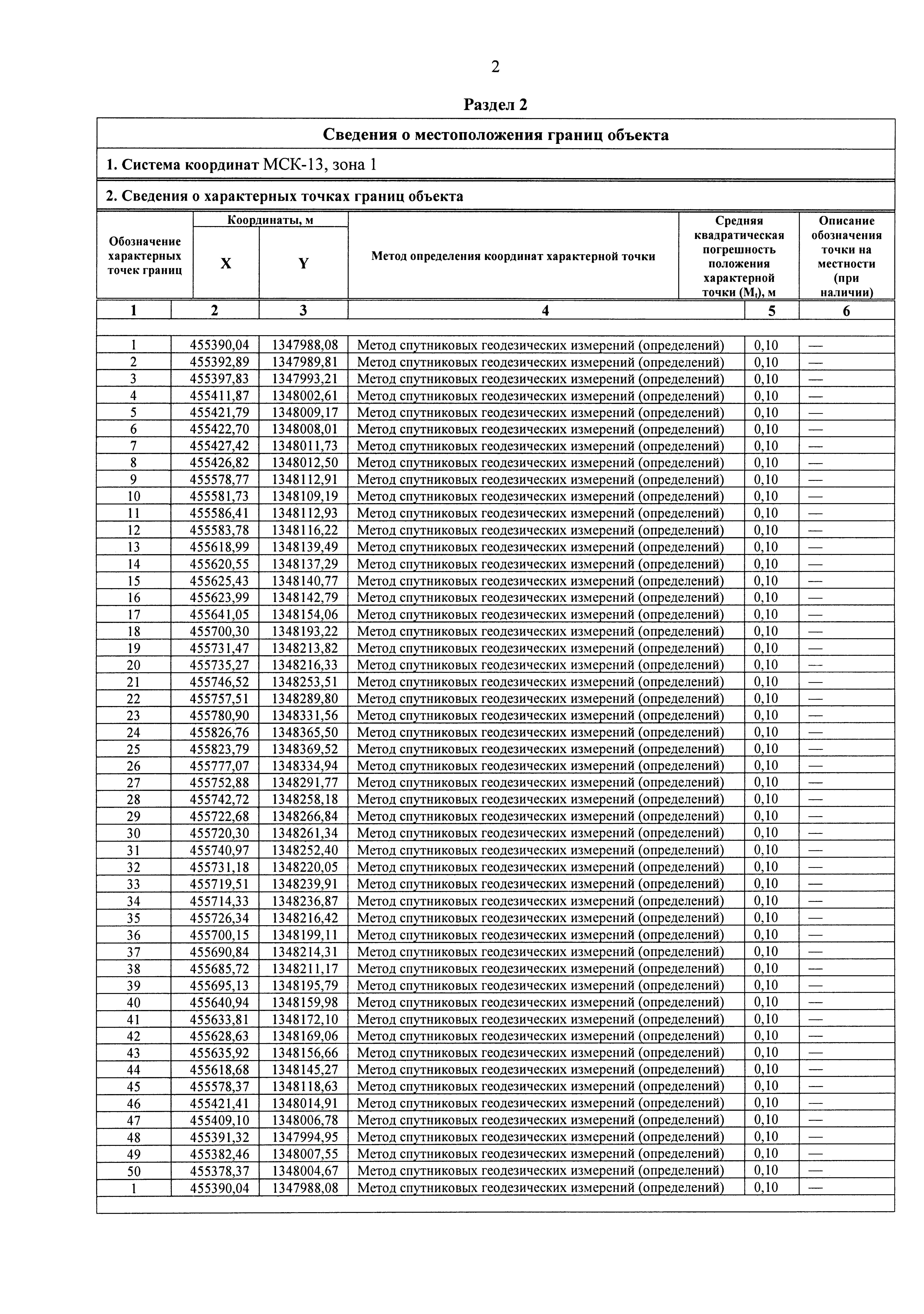
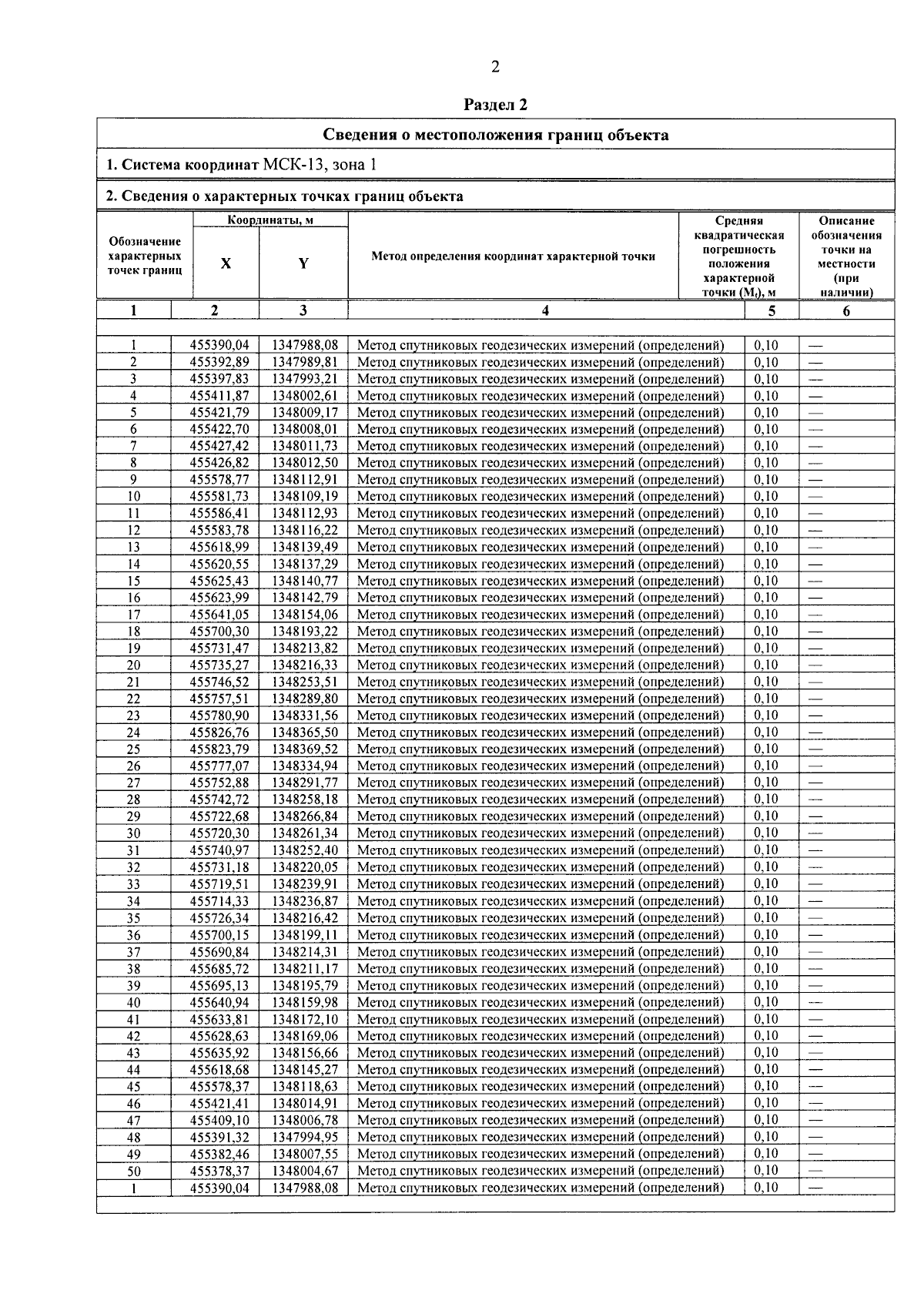
Постановление Правительства Республики Мордовия от 26.01.2026 № 29
"Об утверждении границы охранной зоны газораспределительной сети"
Номер опубликования: 1300202601270025
Дата опубликования: 27.01.2026
Страница №3 из 5: