Официальное опубликование правовых актов
ОФИЦИАЛЬНОЕ ОПУБЛИКОВАНИЕ
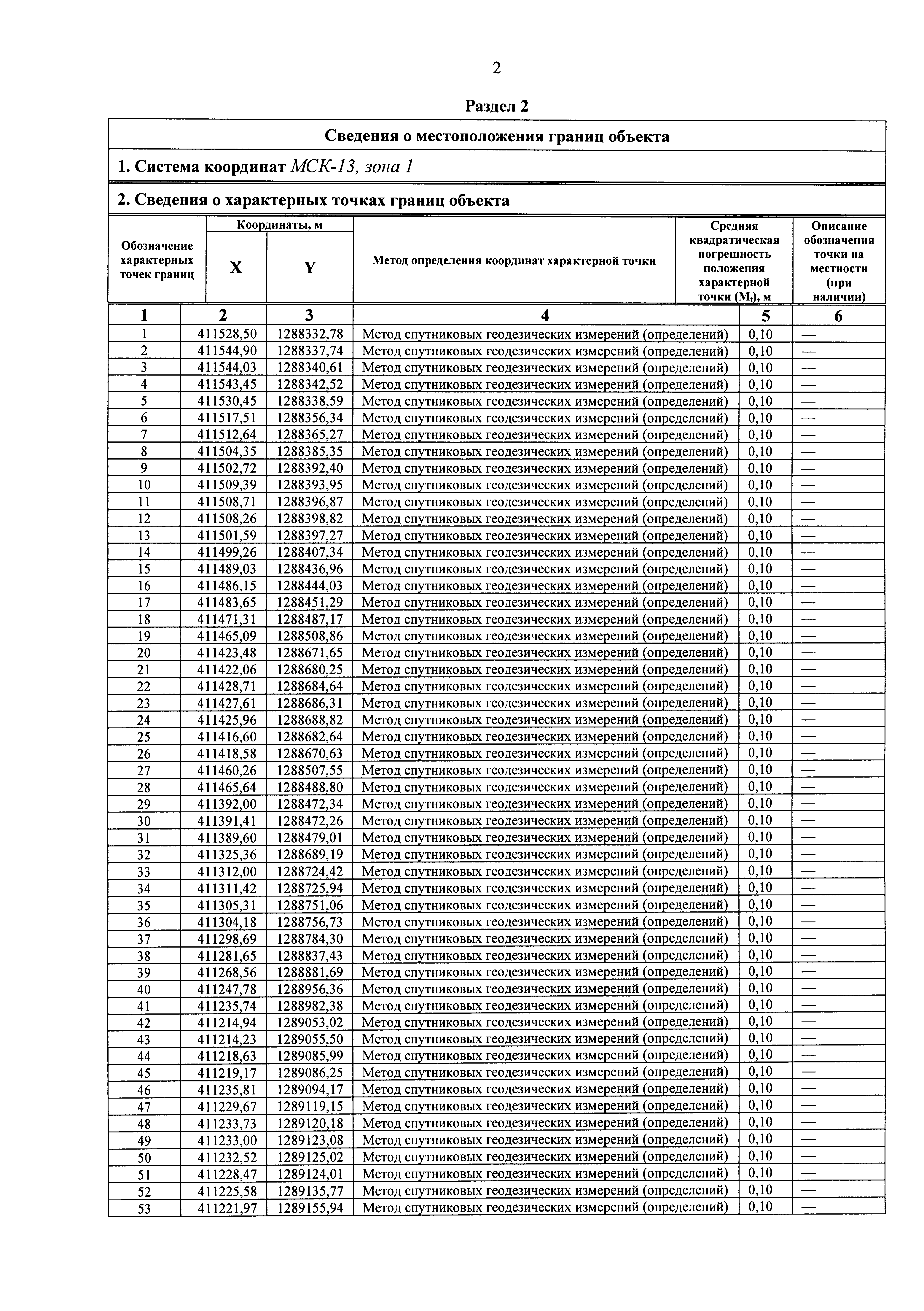
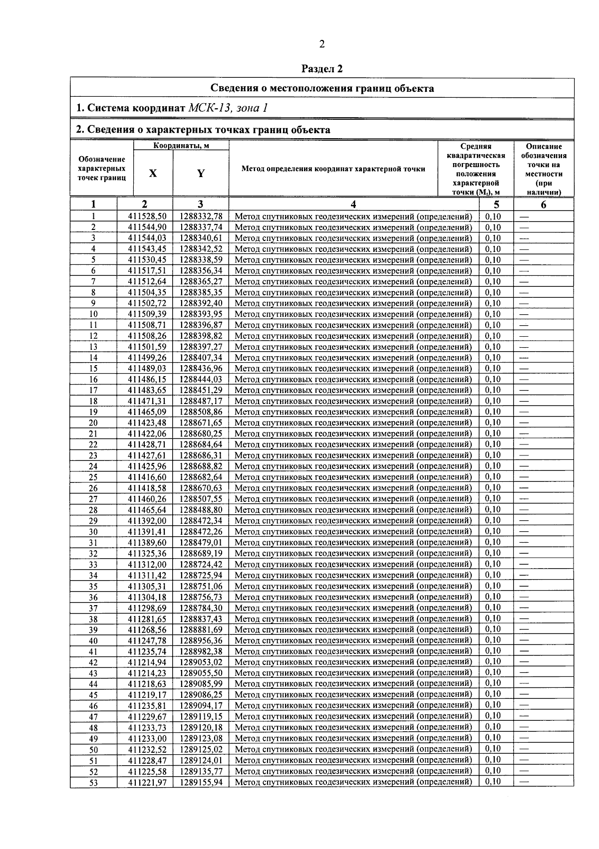
Постановление Правительства Республики Мордовия от 17.12.2025 № 948
"Об утверждении границы охранной зоны газораспределительной сети"
Номер опубликования: 1300202512180006
Дата опубликования: 18.12.2025
Страница №3 из 6: