Официальное опубликование правовых актов
ОФИЦИАЛЬНОЕ ОПУБЛИКОВАНИЕ
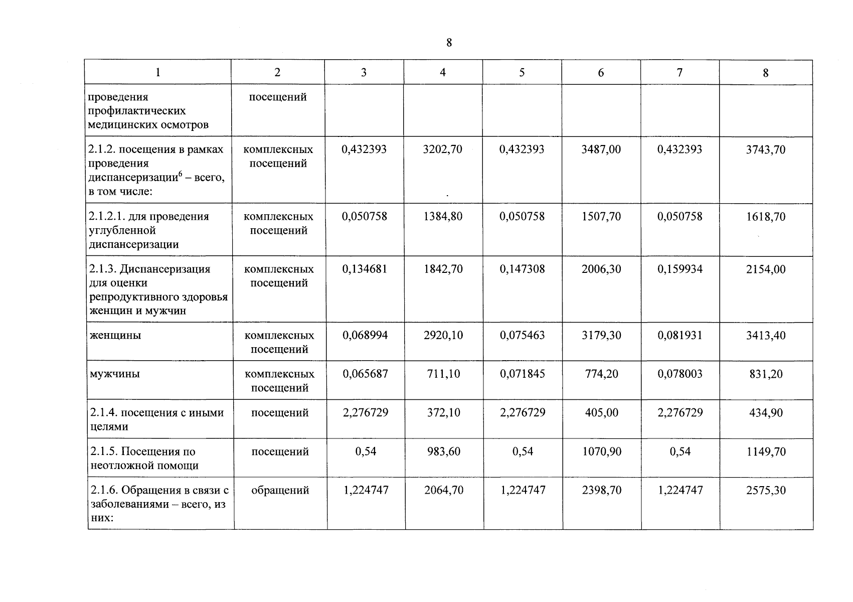
Постановление Правительства Республики Мордовия от 13.10.2025 № 805
"О внесении изменений в Республиканскую территориальную программу государственных гарантий бесплатного оказания населению Республики Мордовия медицинской помощи на 2025 год и на плановый период 2026 и 2027 годов"
Номер опубликования: 1300202510130006
Дата опубликования: 13.10.2025
Страница №8 из 22: