Официальное опубликование правовых актов
ОФИЦИАЛЬНОЕ ОПУБЛИКОВАНИЕ
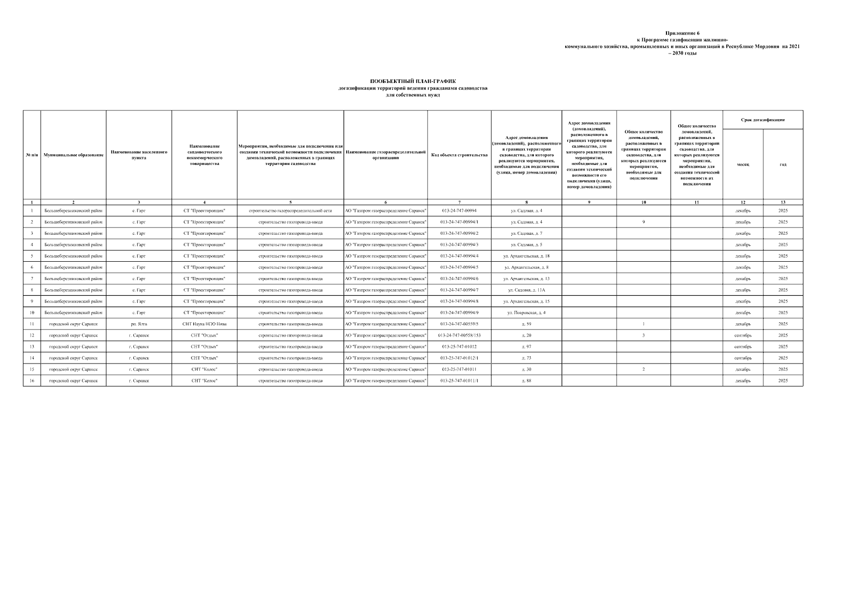
Постановление Правительства Республики Мордовия от 06.10.2025 № 791
"Об утверждении программы газификации жилищно-коммунального хозяйства, промышленных и иных организаций в Республике Мордовия на 2021 – 2030 годы"
Номер опубликования: 1300202510090002
Дата опубликования: 09.10.2025
Страница №1649 из 1651: