Официальное опубликование правовых актов
ОФИЦИАЛЬНОЕ ОПУБЛИКОВАНИЕ
Постановление Правительства Республики Мордовия от 25.09.2025 № 757
"Об утверждении границы охранной зоны газораспределительной сети"
Номер опубликования: 1300202509250009
Дата опубликования: 25.09.2025
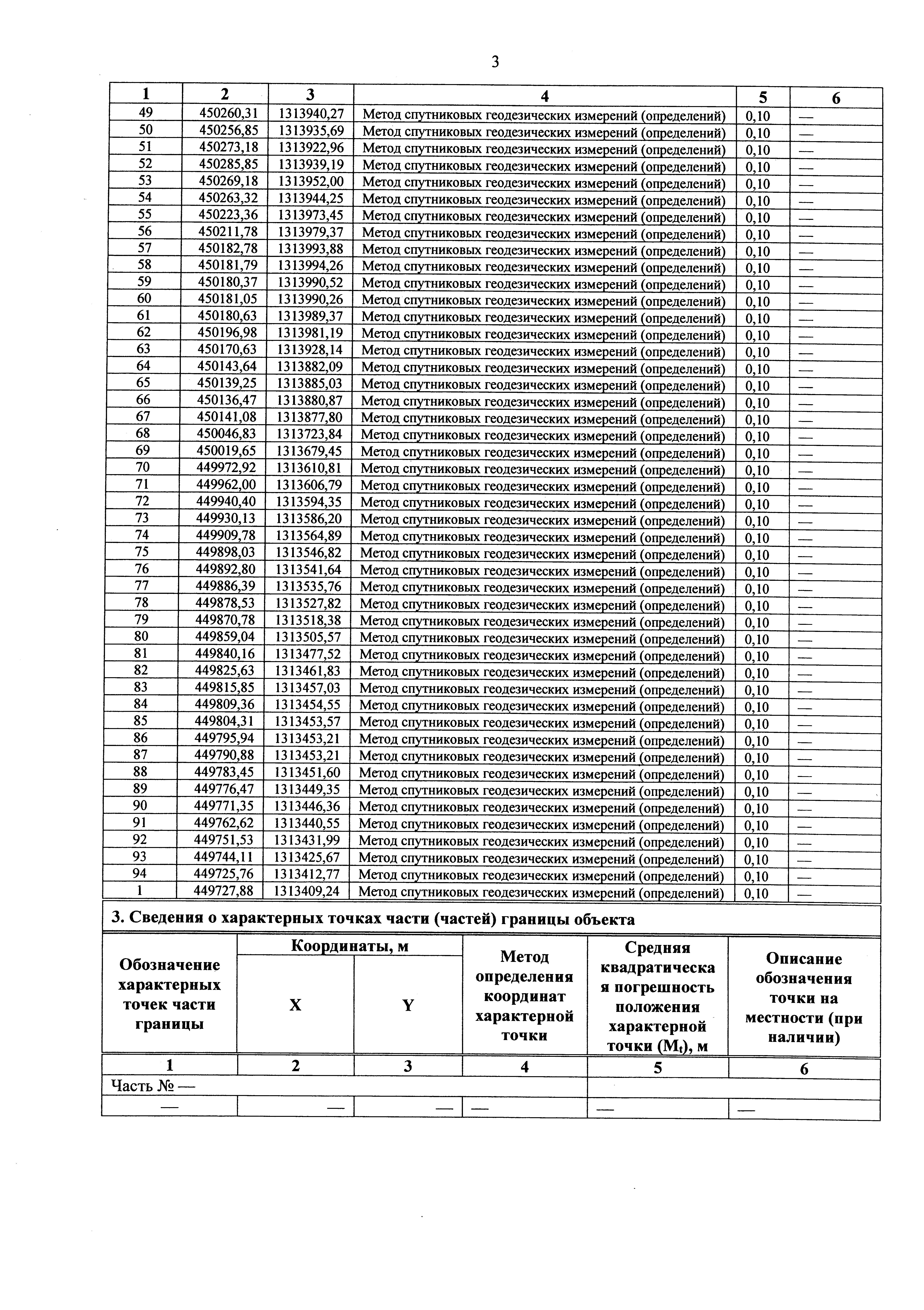
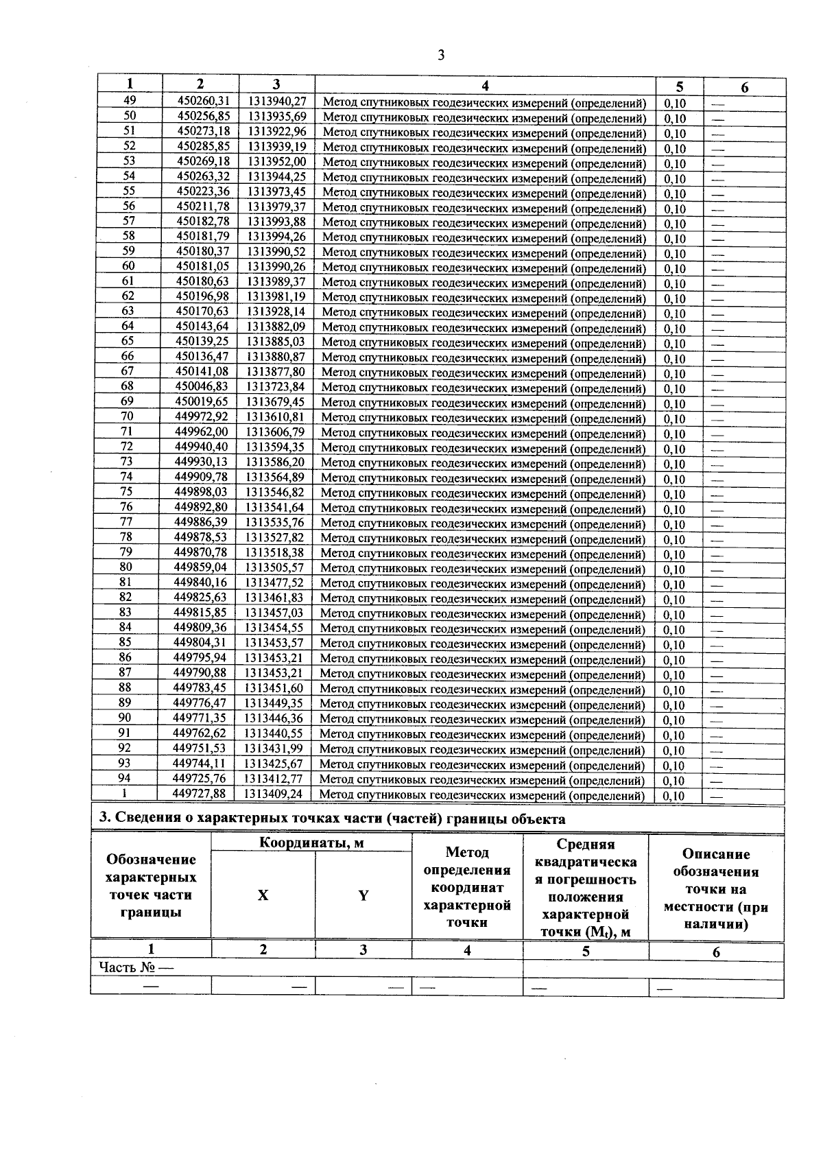
Страница №4 из 5: