Официальное опубликование правовых актов
ОФИЦИАЛЬНОЕ ОПУБЛИКОВАНИЕ
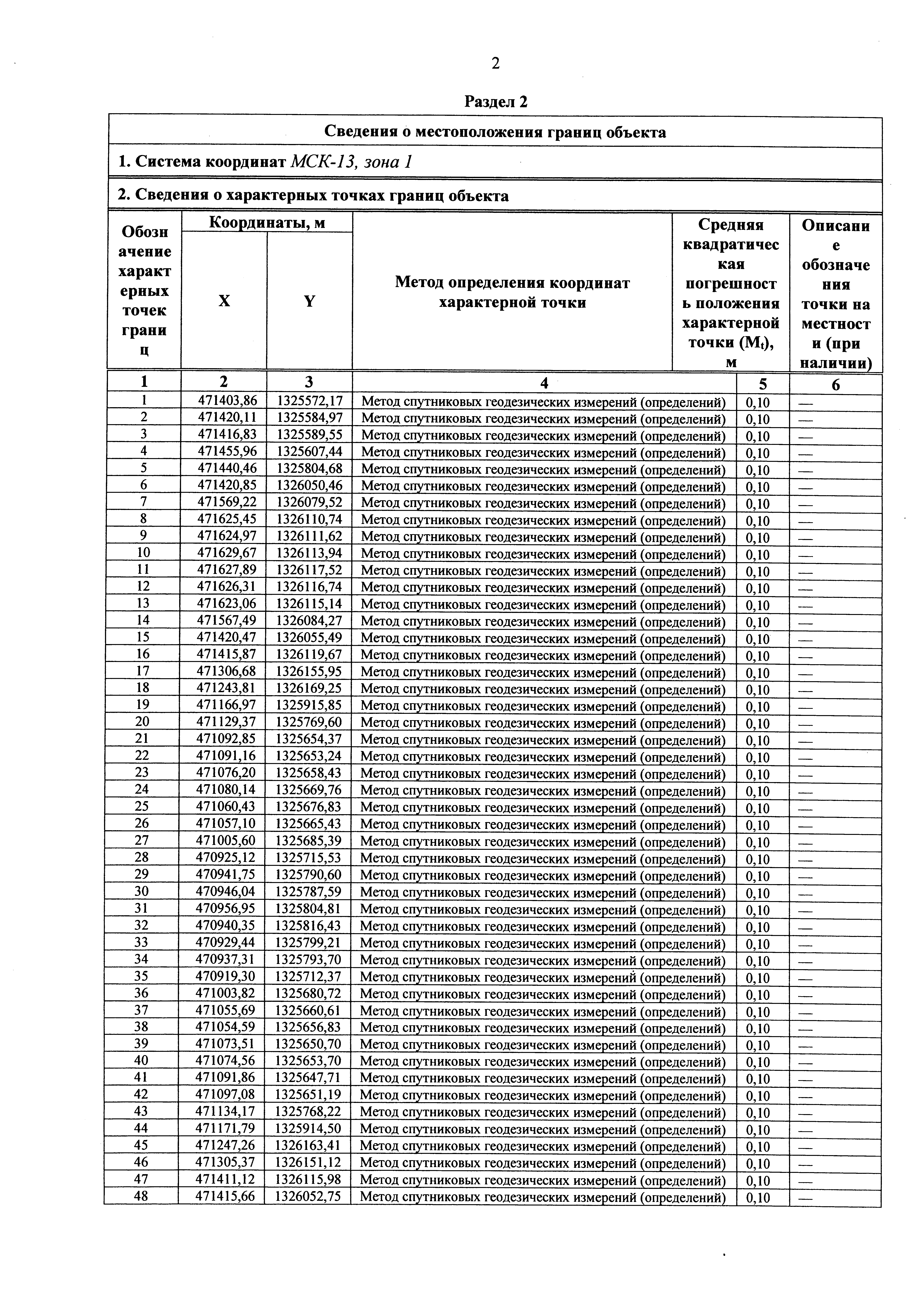
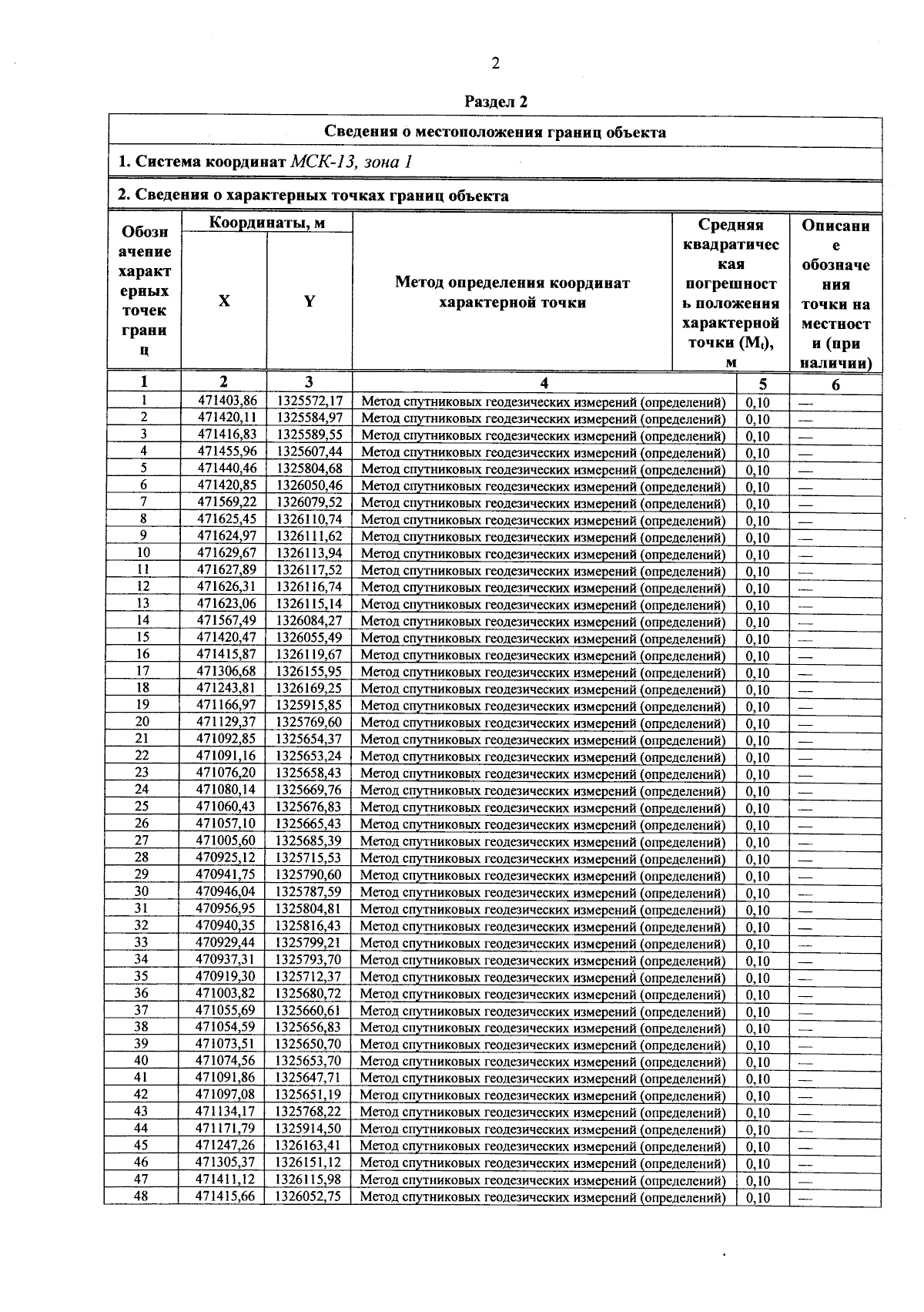
Постановление Правительства Республики Мордовия от 25.09.2025 № 755
"Об утверждении границы охранной зоны газораспределительной сети"
Номер опубликования: 1300202509250004
Дата опубликования: 25.09.2025
Страница №3 из 5: