Официальное опубликование правовых актов
ОФИЦИАЛЬНОЕ ОПУБЛИКОВАНИЕ
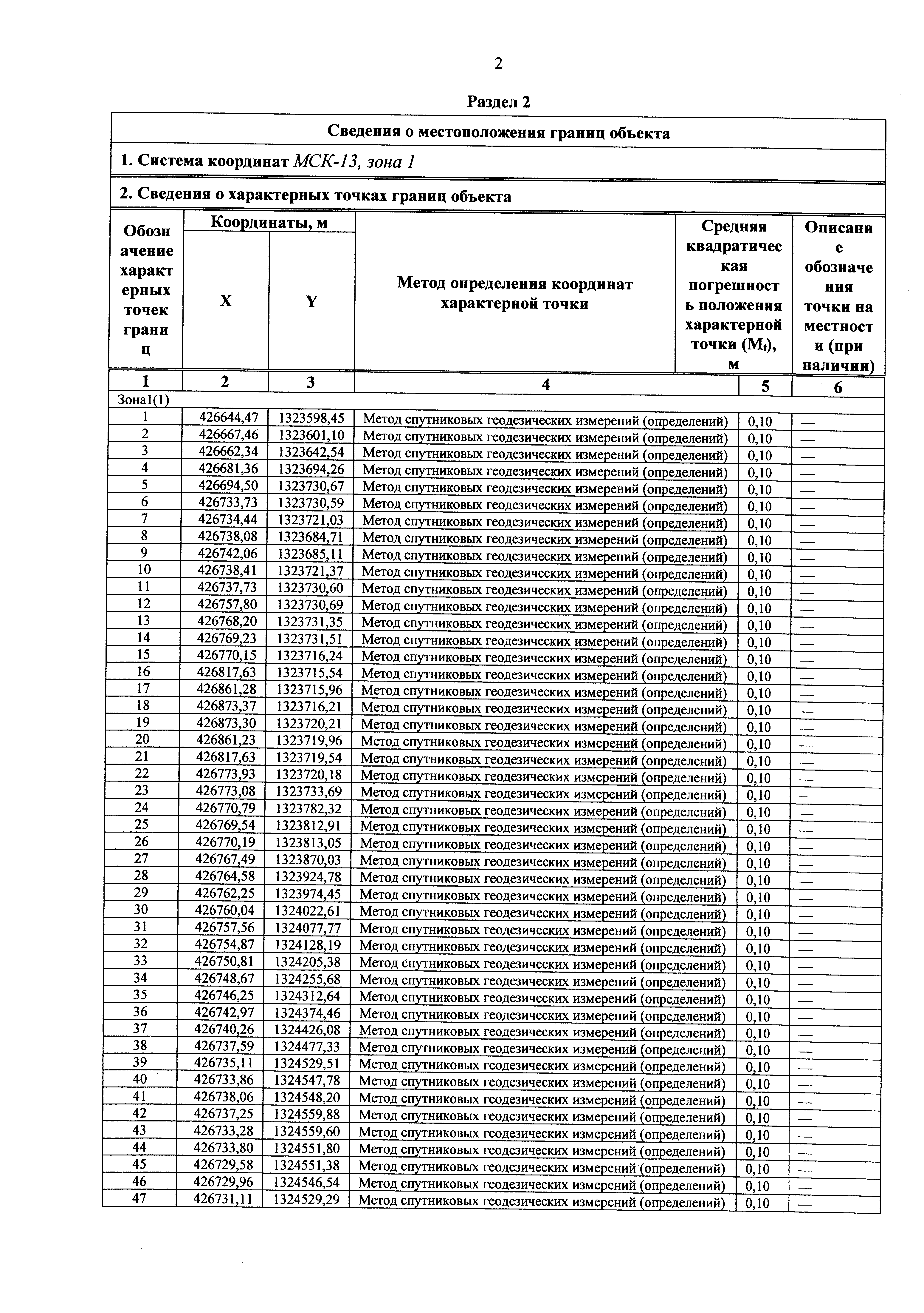
Постановление Правительства Республики Мордовия от 18.09.2025 № 722
"Об утверждении границы охранной зоны газораспределительной сети"
Номер опубликования: 1300202509180004
Дата опубликования: 18.09.2025
Страница №3 из 6: