Официальное опубликование правовых актов
ОФИЦИАЛЬНОЕ ОПУБЛИКОВАНИЕ
Постановление Правительства Республики Мордовия от 18.09.2025 № 724
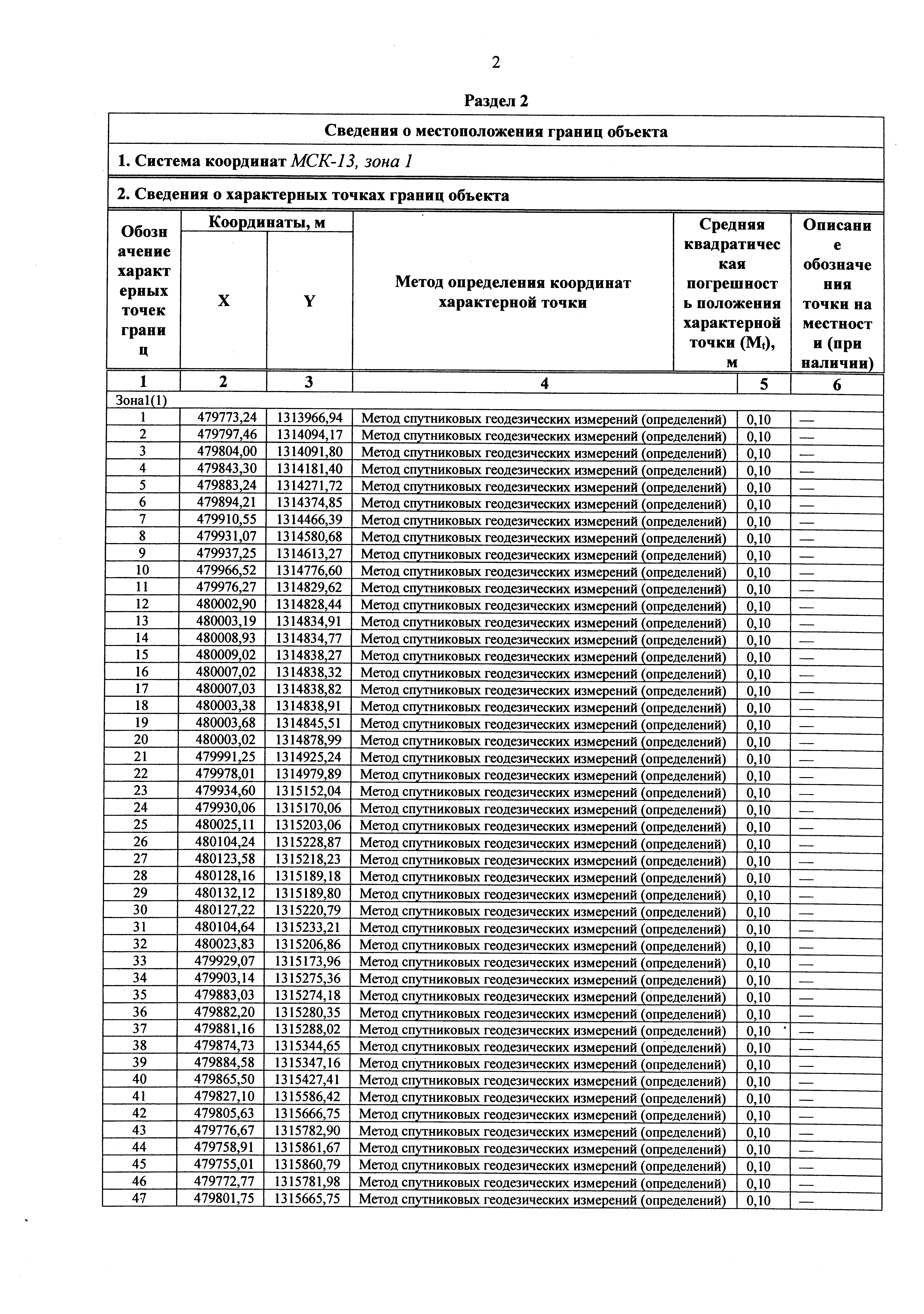
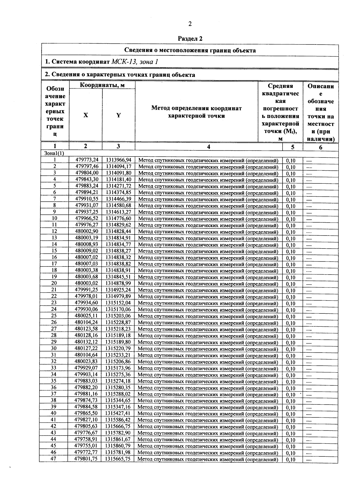
"Об утверждении границы охранной зоны газораспределительной сети"
Номер опубликования: 1300202509180001
Дата опубликования: 18.09.2025
Страница №3 из 6: